Предмет: Алгебра,
автор: Phoenix102
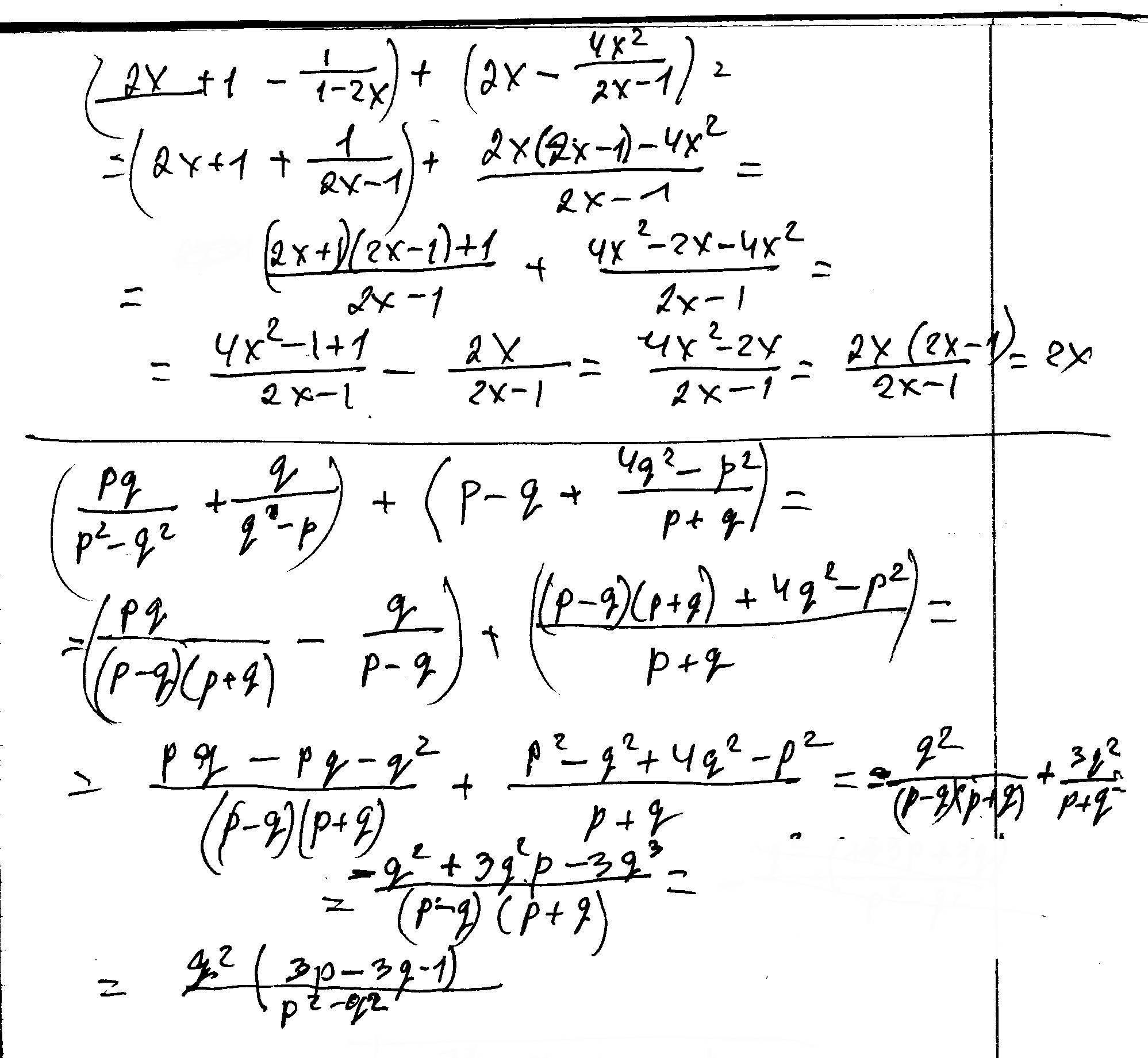
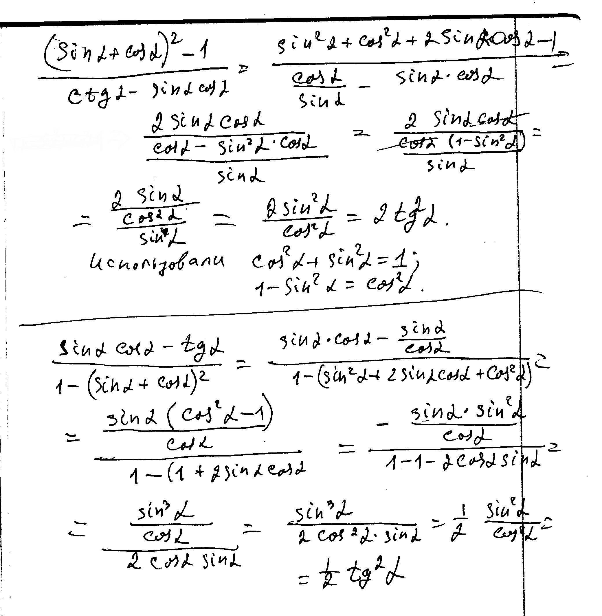
Помогите пожалуйста срочно!1,2 и 3 задание
Приложения:
Ответы
Автор ответа:
0
решение в скане..........
Приложения:
Похожие вопросы
Предмет: Геометрия,
автор: zizin62
Предмет: Литература,
автор: moirisunkicomi
Предмет: Физика,
автор: ZloiPingvin
Предмет: История,
автор: mordovinainna