Предмет: Геометрия,
автор: zhernovojvlad
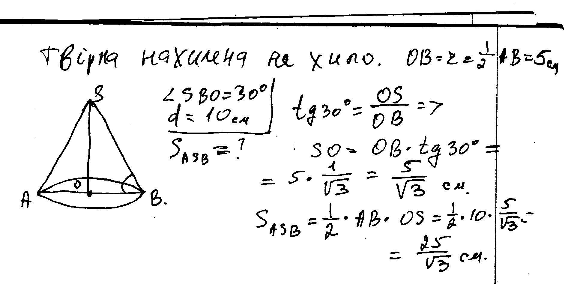
Знайти пдощу осьового перерізу конуса діамтр оснлви якого жорінює 10см а твірна нахилена до площини основи під кутом 30
Ответы
Автор ответа:
0
Решение в скане..............
Приложения:
Похожие вопросы
Предмет: Русский язык,
автор: LikamiDet
Предмет: Химия,
автор: krustyplay667
Предмет: Математика,
автор: solakovairina15
Предмет: Математика,
автор: KсЮwA