Предмет: Математика, автор: Elik1504

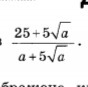
Упростить выражение на фото:

Приложения:

Ответы

Автор ответа: zhenyaM2002
0
 frac{25 +5  sqrt{a} }{a+5 sqrt{a} } =  frac{5( sqrt{a}+5) }{ sqrt{a} ( sqrt{a} +5)} =  frac{5}{ sqrt{a}}
Похожие вопросы
Предмет: Английский язык, автор: Аноним
Предмет: Английский язык, автор: Аноним
Предмет: Английский язык, автор: stalin49
Предмет: История, автор: chirkovd2002xxx
Предмет: Химия, автор: di2000diana