Предмет: Алгебра, автор: ireena

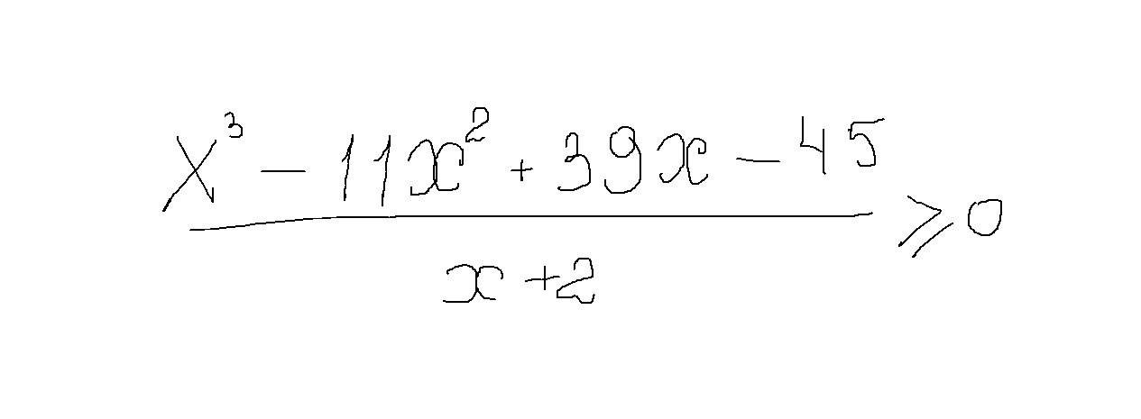
Пожалуйста, решите неравенство

Приложения:

Ответы

Автор ответа: zews1065
0
рассмотрим верхнее уравнение:
путем подбора с нуля пытаемся найти корень уравнения. Ближайший это х=3. Теперь исходное выражение делим на (х-3), получаем х²-8х+15. То есть, верхнее уравнение можно представить в виде:
х³-11х²+39х-45=(х-3)(х²-8х+15)
теперь решаем методом интервалов:
(х-3)(х²-8х+15)=0
х1=3
х²-8х+15=0
д=64-4·15=4
√д=2
х2=(8-2)/2=3=х1
х3=(8+2)/2=5
и еще х+2≠0
х4≠-2
Получаем интервалы и определяем знаки: 
-∞;-2  -  положительна
-2;3  -  отрицательна
3;5  -  отрицательна
5;∞  -  положительна
Значит ответом будет:[-∞;-2]∪[5;∞]

Похожие вопросы
Предмет: Математика, автор: ukrainianguard7
Предмет: Биология, автор: Ksenia191200
Ответьте пожалуйста на вопросы ответами да нет. Например, 12. нет,13 нет .....
12. Микориза — это то же, что и мицелий.

13. Грибница шляпочных грибов однолетняя.

14. Шампиньоны не образуют микоризу.

15. Шляпочные и плесневые гри бы размножаются спорами.

16. Пеницилл — один из видов белой плесени.

17. У пеницилла, как и у мукора, мицелий не разделен пере городками и представляет собой как бы одну разветвленную клет ку.

18. Дрожжи — одноклеточные грибы.

19. Дрожжи, как и другие гри бы, размножаются спорами.

20. В природе дрожжи встреча ются в нектаре цветков, в соковыделениях растений, на плодах и в почве.

21. Колосья ржи, пораженные головней, выглядят почерневшими, словно обгоревшими.

22, Гифы спорыньи развиваются из спор, попавших при помощи вет ра на развивающиеся колосья ржи, ячменя, пшеницы и других хлеб ных злаков.

23. Грибы-трутовики по спосо бу питания относятся к сапрофитам.
25. Картофель и другие паслено вые часто поражаются грибом-фи тофторой.