Предмет: Математика,
автор: Инори2000
Как это решить? И попонятнее, для тупиков)
Приложения:
Ответы
Автор ответа:
0
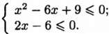
вверху: (х-3)²≤0
х может быть равным только 3, при котором значение выражения равно нулю(квадрат действительного числа не может быть менее 0)
проверим, подходит ли х=3 ко второму уравнению системы. 6-6=0. Поэтому ответ следующий:
х = 3
х может быть равным только 3, при котором значение выражения равно нулю(квадрат действительного числа не может быть менее 0)
проверим, подходит ли х=3 ко второму уравнению системы. 6-6=0. Поэтому ответ следующий:
х = 3
Автор ответа:
0
А дальше как, подскажите...
Автор ответа:
0
все решено
Автор ответа:
0
ух- ты
Похожие вопросы
Предмет: Математика,
автор: mahnenkovlada
Предмет: Алгебра,
автор: anza5858123
Предмет: История,
автор: timofeevagty
Предмет: География,
автор: hajimurat
Предмет: Литература,
автор: 02476