Предмет: Геометрия,
автор: BozhenaUrb2001
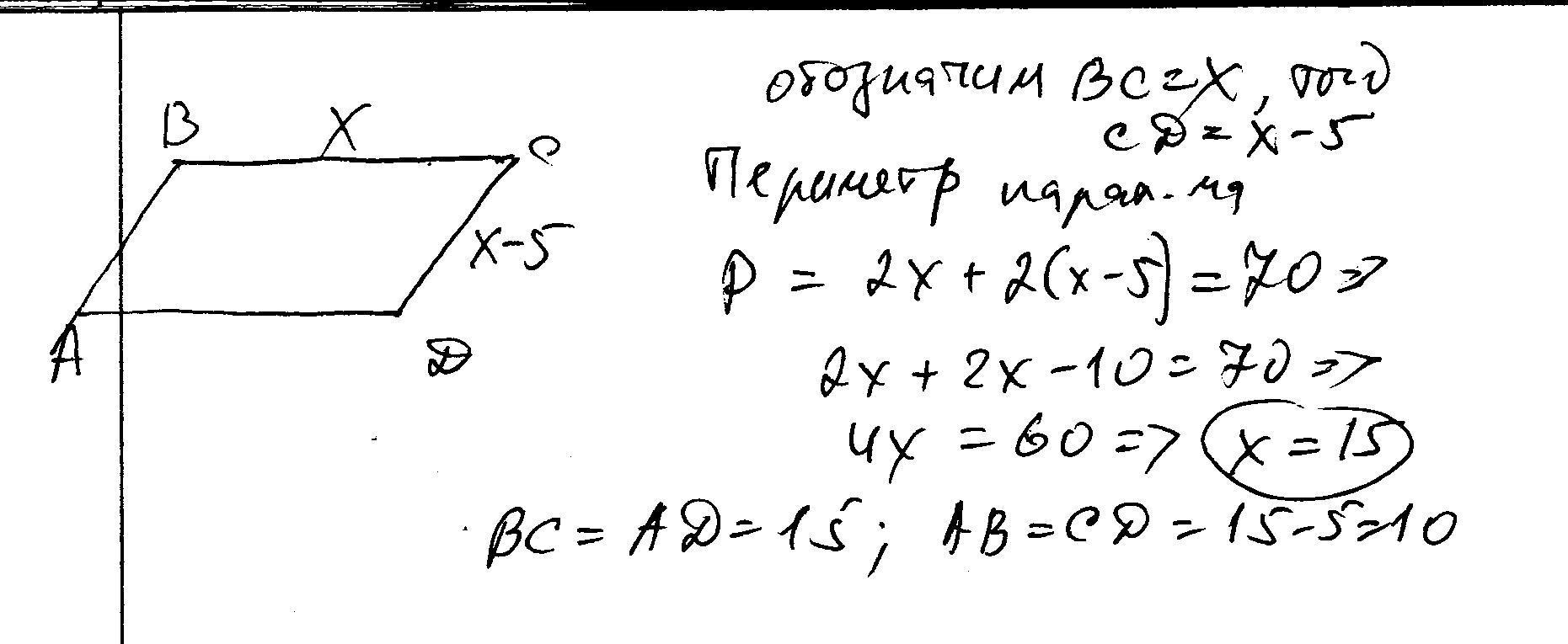
Чому дорівнює менша із сторін паралелограма, якщо вона на 5 см менша від іншої сторони, а периметр паралелограма дорівнює 70 см ?
Ответы
Автор ответа:
0
решение в скане........
Приложения:
Похожие вопросы
Предмет: Алгебра,
автор: matvey8tmb
Предмет: Другие предметы,
автор: bezrukovamila
Предмет: Литература,
автор: zlatazeltukova
Предмет: Физика,
автор: Marisabel10061999
Предмет: Математика,
автор: natamyxa