Предмет: Математика, автор: НастюшаШамсеева

Матан срочно пжл решите

Приложения:

Ответы

Автор ответа: dimanchyck2000
0
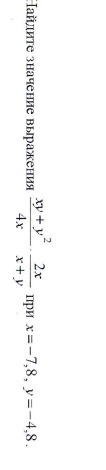
ху+у²/4х • 2х/х +у = у(х+у)/2 * 1/ х + у = у/2 = -2,4
Автор ответа: dimanchyck2000
0
только это не матанализ
Автор ответа: georgefedoseev
0
 frac{xy+y^2}{4x} * frac{2x}{x+y} =  frac{y(x+y)*2x}{4x*(x+y)} = frac{y}{2} \y=-4,8\- frac{4,8}{2} = -2,4

Ответ:-2,4
Похожие вопросы
Предмет: География, автор: krkasper