Предмет: Алгебра,
автор: ипримас
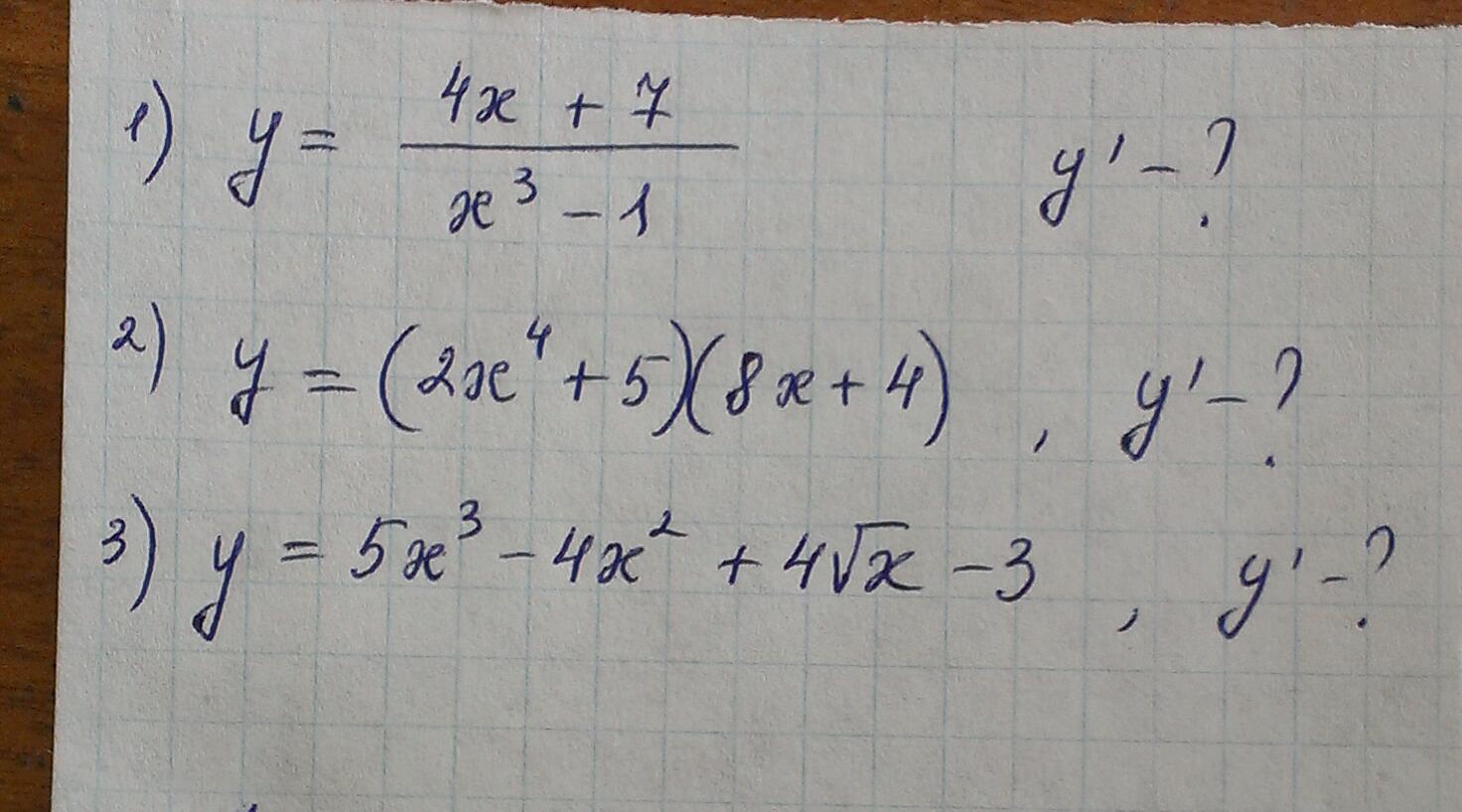
решите плиз дифферинциал
Приложения:
Ответы
Автор ответа:
0
смотри решение на фото
Приложения:
Похожие вопросы
Предмет: Беларуская мова,
автор: IvanIvashkevich
Предмет: Информатика,
автор: vladikastas1p8tq75
Предмет: Информатика,
автор: nastikpash22
Предмет: Обществознание,
автор: nazimkina5
Предмет: Математика,
автор: nastyusha1283