Предмет: Геометрия,
автор: Аноним
номер 4 пожалуйста помогите срочноооо
Приложения:
Ответы
Автор ответа:
0
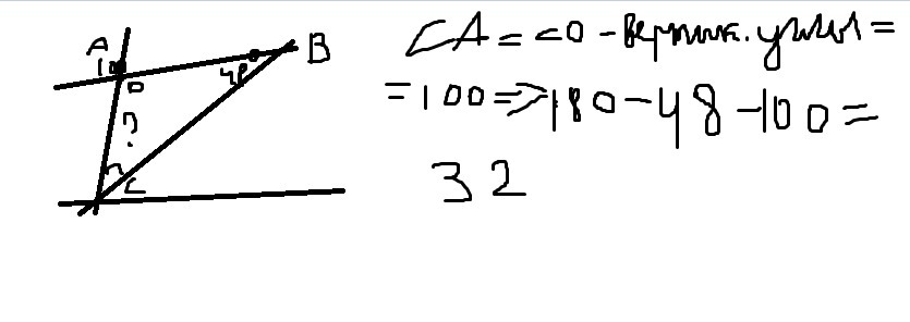
По-моему решение такое...
Приложения:
Похожие вопросы
Предмет: Русский язык,
автор: zm707952
Предмет: История,
автор: yukiju
Предмет: Химия,
автор: karinabilova76
Предмет: История,
автор: alinashpis04