Предмет: Алгебра,
автор: yuiyui11
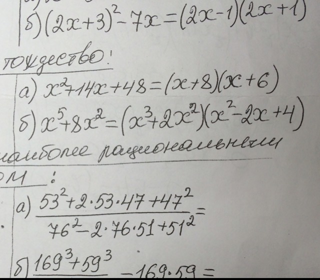
Докажите тождество
Заранее спасибо
Приложения:
Ответы
Автор ответа:
0
1)Слева x^2+14x+48. находим дискриминант. D=14^2-4*1*48=4
х1=-14+2/2= -6
x2=-14-2/2= -8
Раскладываем по формуле. Получаем тождество:
(x+8)(x+6)=(x+8)(x+6)
Cо вторым помочь не смогу.
х1=-14+2/2= -6
x2=-14-2/2= -8
Раскладываем по формуле. Получаем тождество:
(x+8)(x+6)=(x+8)(x+6)
Cо вторым помочь не смогу.
Автор ответа:
0
Если решу 2, скину
Автор ответа:
0
Спасибо большое :)
Похожие вопросы
Предмет: Математика,
автор: DragonEliss
Предмет: Математика,
автор: sergoor
Предмет: Английский язык,
автор: martisinveronika
Предмет: Геометрия,
автор: Angelina210498
Предмет: Математика,
автор: nastenaslasten7