Предмет: Алгебра,
автор: 776251
Вычислить значения производной, пожалуйста
Приложения:
Ответы
Автор ответа:
0
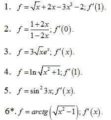
1) f'(x) = 1/2√x + 2 - 9x²
f'(1) = 1/2 +2 -9 = -6,5
2) f'(x) = (2(1-2x) +2(1 + 2x))/(1 -2х)² = (2 - 4х +2 +4х)/(1 -2х)² =
=4/(1 -2х)²
f'(0) = 4
3)f(x) = 3x^1/2 * e^x
f'(x) = 3/2 x^-1/2 *e^x + 3x^1/2*e^x = 1,5e^x(1/√x +2√x) = 1,5e^x(1 +2x)/√х
4) f'(x) = 1/√(x² +1) * 1/2√(x² + 1) * 2x= x/(x² +1)
f'(1) = 1/2
5)f(x) = Sin² 3x
f'(x) = 2Sin3x * Cos3x * 3 = 3Sin6x
6) f(x) = arctg(√(x² -1)
f'(x) = 1/(1 + х² -1) = 1/х²
f'(1) = 1/2 +2 -9 = -6,5
2) f'(x) = (2(1-2x) +2(1 + 2x))/(1 -2х)² = (2 - 4х +2 +4х)/(1 -2х)² =
=4/(1 -2х)²
f'(0) = 4
3)f(x) = 3x^1/2 * e^x
f'(x) = 3/2 x^-1/2 *e^x + 3x^1/2*e^x = 1,5e^x(1/√x +2√x) = 1,5e^x(1 +2x)/√х
4) f'(x) = 1/√(x² +1) * 1/2√(x² + 1) * 2x= x/(x² +1)
f'(1) = 1/2
5)f(x) = Sin² 3x
f'(x) = 2Sin3x * Cos3x * 3 = 3Sin6x
6) f(x) = arctg(√(x² -1)
f'(x) = 1/(1 + х² -1) = 1/х²
Похожие вопросы
Предмет: Химия,
автор: Julia4161
Предмет: Математика,
автор: VortexYT
Предмет: География,
автор: nicovararuslan
Предмет: Математика,
автор: flyustikova72
Предмет: Математика,
автор: Sergeymalozemov