Предмет: Математика,
автор: UCHNIK
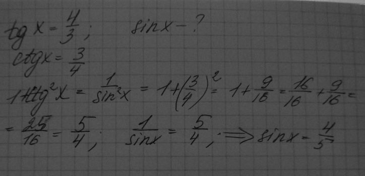
Определить синус острого угла х, если tgх = 4/3, с подробным решением
Ответы
Автор ответа:
0
треугольник АВС, угол С = 90 гр.
тангенс Х (отношение противолежащего катета к прилежащему) = ВС/АС = 4/3
синус Х (отношение противолежащего катета к гипотенузе) = ВС/АВ
АВ найдем по теореме Пифагора: АВ (в квадрате) = ВС (в квадрате) + АС (в квадрате) = 25. АВ = 5
Значит, синус Х = 4/5
тангенс Х (отношение противолежащего катета к прилежащему) = ВС/АС = 4/3
синус Х (отношение противолежащего катета к гипотенузе) = ВС/АВ
АВ найдем по теореме Пифагора: АВ (в квадрате) = ВС (в квадрате) + АС (в квадрате) = 25. АВ = 5
Значит, синус Х = 4/5
Автор ответа:
0
.............................................................................
Приложения:
Автор ответа:
0
Да
Похожие вопросы
Предмет: История,
автор: lenochkakrav0312
Предмет: Биология,
автор: katialuniyk14
Предмет: Химия,
автор: Аноним
Предмет: Математика,
автор: bayuraalena
Предмет: Алгебра,
автор: alenaovchinnik1