Предмет: Математика,
автор: victoriaBlack1
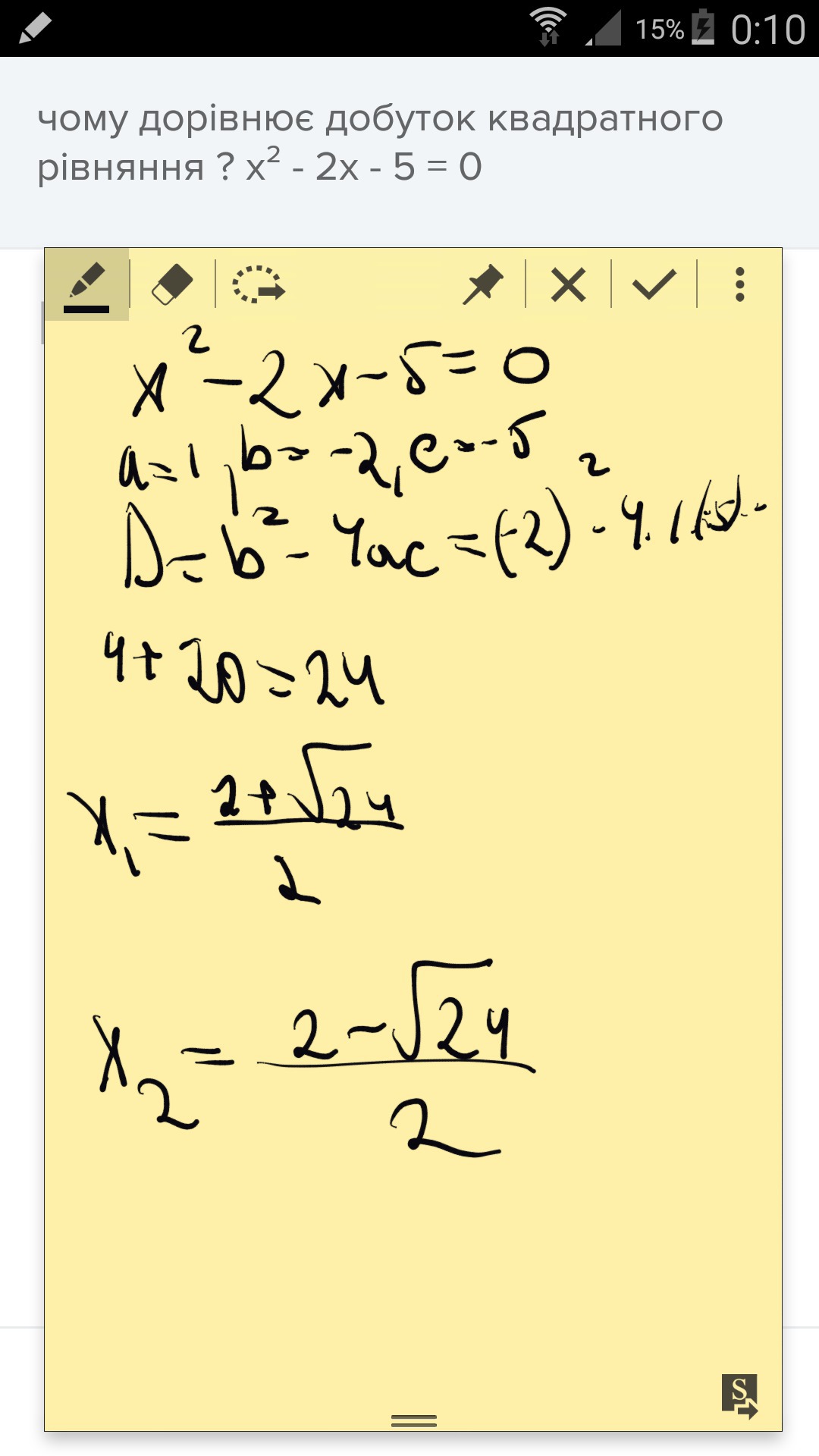
чому дорівнює добуток квадратного рівняння ? х² - 2х - 5 = 0
Ответы
Автор ответа:
0
отвеееееееееееееееееееееет
Приложения:
Похожие вопросы
Предмет: Українська література,
автор: hmelnickavalya7
Предмет: История,
автор: daniilozerov
Предмет: Математика,
автор: Аноним
Предмет: Математика,
автор: никитаaaa