Предмет: Алгебра,
автор: anandi98
Помогите прошу пожалуйста
Приложения:
Ответы
Автор ответа:
0
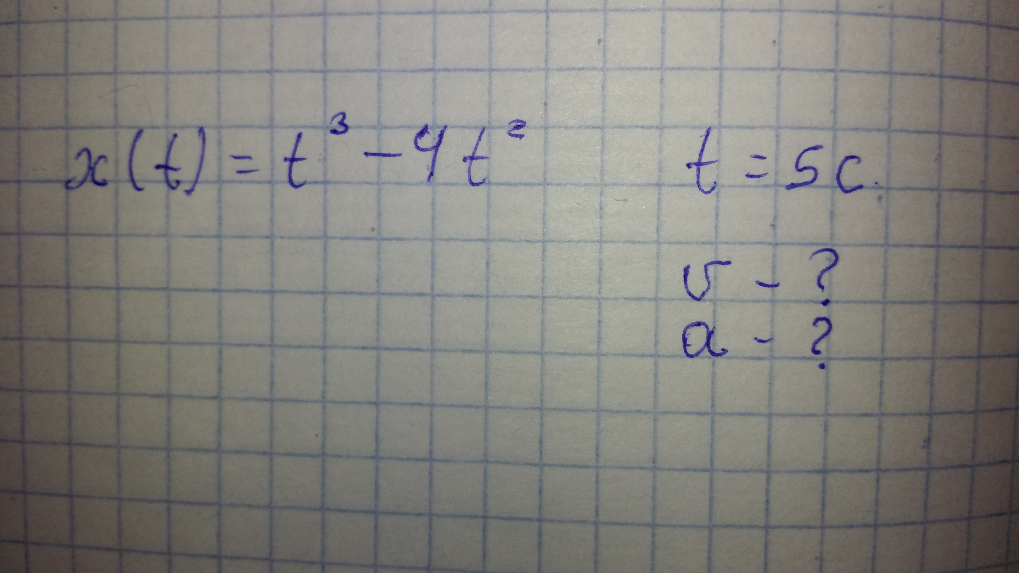
для v - первая производная x(t)
v(t)=3t^2-8t v(5)=3*5^2-8*5=35
для a - первая производная v(t)
a(t)=6t-8 a(5)=6*5-8 =22
v(t)=3t^2-8t v(5)=3*5^2-8*5=35
для a - первая производная v(t)
a(t)=6t-8 a(5)=6*5-8 =22
Похожие вопросы
Предмет: Геометрия,
автор: nikitafinenkooo
Предмет: Физика,
автор: sramkooleg907
Предмет: Математика,
автор: AdamHz
Предмет: Обществознание,
автор: puussssssssss
Предмет: Математика,
автор: 79053551045