Предмет: Алгебра,
автор: XGuruX
помогите, пожалуйста =)))
Приложения:
Ответы
Автор ответа:
0
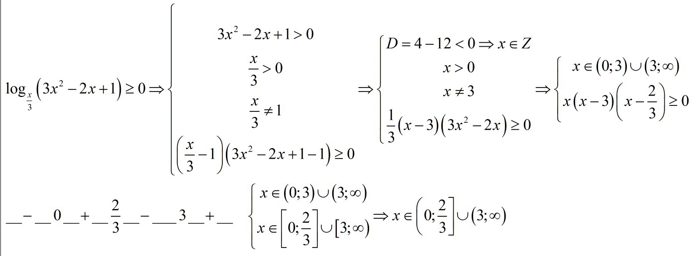
Решение смотрите на фото....
Приложения:
Автор ответа:
0
решение смотри во вложении
Приложения:
Похожие вопросы
Предмет: Алгебра,
автор: aminaberezuk
Предмет: Математика,
автор: Аноним
Предмет: История,
автор: evseevakate65
Предмет: Информатика,
автор: IrkaVilka