Предмет: Алгебра,
автор: дана183
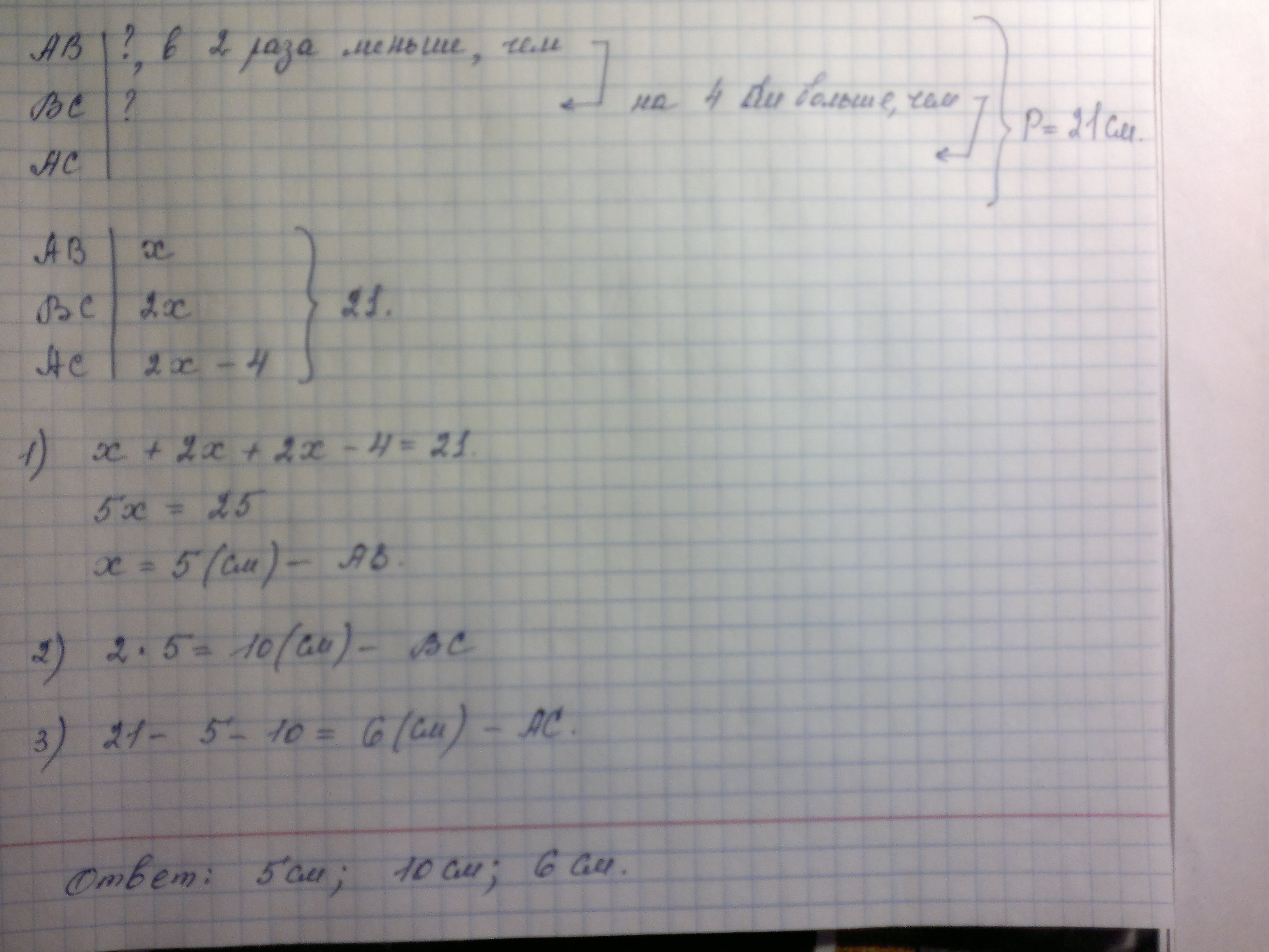
помогитес задачей................
Приложения:
Ответы
Автор ответа:
0
Пишите, если что не так
Приложения:
Похожие вопросы
Предмет: Алгебра,
автор: romadav007
Предмет: Математика,
автор: ivanivnanatalia746
Предмет: Химия,
автор: popsyikok
Предмет: Литература,
автор: 122803
Предмет: Физика,
автор: bichegkueva02