Предмет: Математика,
автор: Free3e
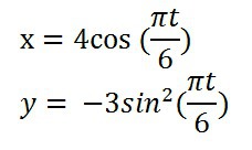
найти производные 1 и 2 порядка следующих функций
Приложения:
Ответы
Автор ответа:
0
----------------------------
Приложения:
Похожие вопросы
Предмет: Геометрия,
автор: steamscoms
Предмет: Литература,
автор: mharcenko668
Предмет: Математика,
автор: svetatulja73
Предмет: Информатика,
автор: юлиииииияяяя2000