Предмет: Алгебра,
автор: vasiapetrov1919
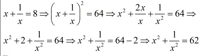
Прошу помогите срочно нужно известно, что х+(1/х )=8, найти х2+ 1/х2 дробь
Ответы
Автор ответа:
0
htitybt cvjnhb dj dkj;tybb
Приложения:
Похожие вопросы
Предмет: Алгебра,
автор: Xuliganka245
Предмет: Математика,
автор: xamiak18
Предмет: Математика,
автор: ivartem2003
Предмет: Геометрия,
автор: akobzev
Предмет: Обществознание,
автор: Nobuta