Предмет: Химия,
автор: Евгений611
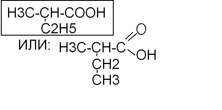
составить структурную формулу 2 этил пропионовая кислота
Ответы
Автор ответа:
0
C4H9COOH ПОДРОБНЕЕ НА ФОТЕ:
Приложения:
Похожие вопросы
Предмет: История,
автор: kudyara228
Предмет: Литература,
автор: yakovyksofia
Предмет: География,
автор: ryabenkij201
Предмет: Информатика,
автор: emilabdulaev2
Предмет: Литература,
автор: sergeycherepan