Предмет: Математика,
автор: nkudar
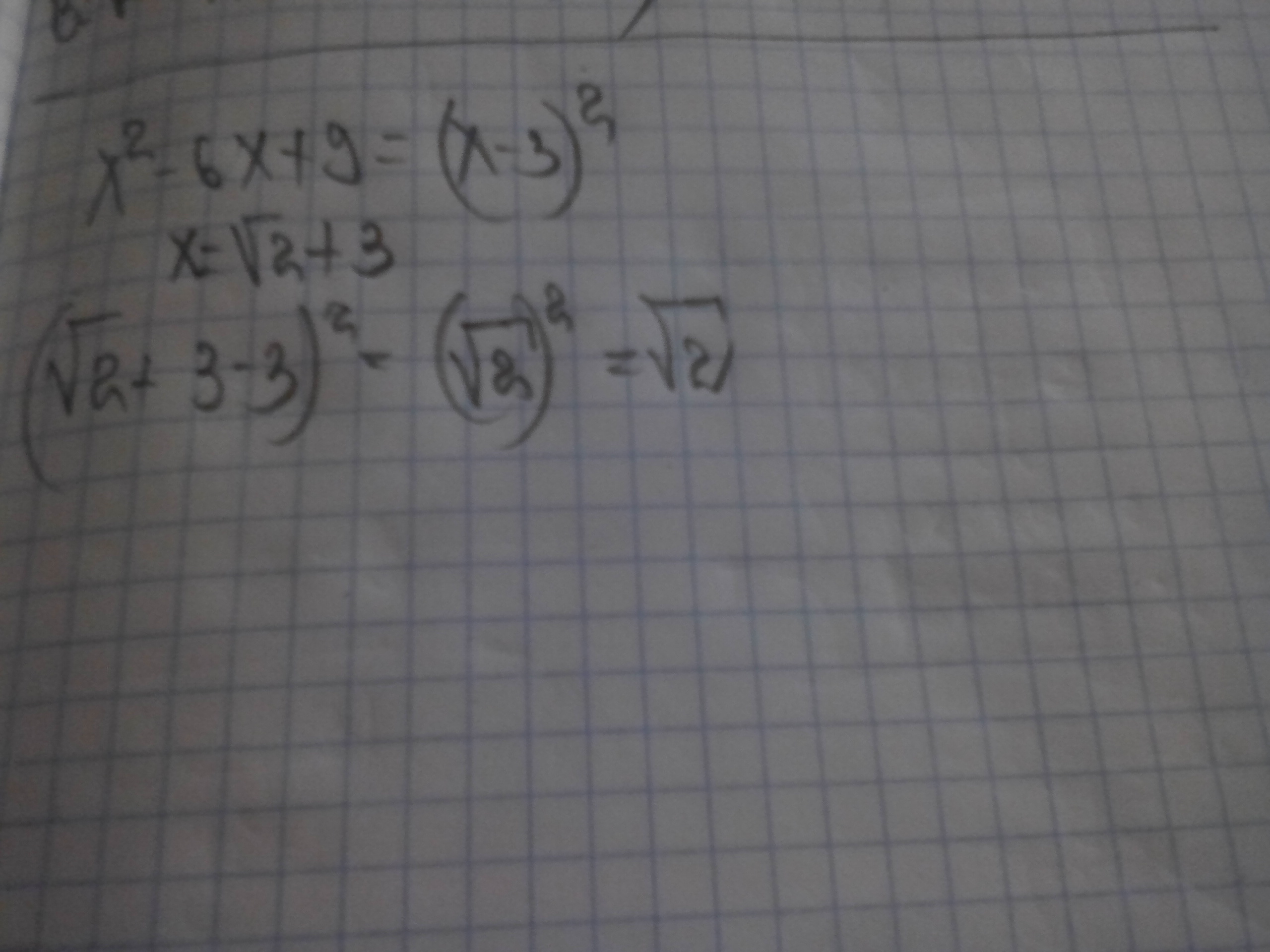
Знайдіть значення виразу х^2-6х+9 при х=3+√2.
Помогите пожалуйста=)
Ответы
Автор ответа:
0
Решение задания на фотке:3
Приложения:
Похожие вопросы
Предмет: МХК,
автор: lebedaxleon20008
Предмет: Алгебра,
автор: Barbi54
Предмет: Математика,
автор: Dmitriy4545
Предмет: Математика,
автор: fatiiik
Предмет: Алгебра,
автор: YanaMalik