Предмет: Геометрия,
автор: sashakoryt
Помогите решить хотя бы 2 очень прошу
Приложения:
Ответы
Автор ответа:
0
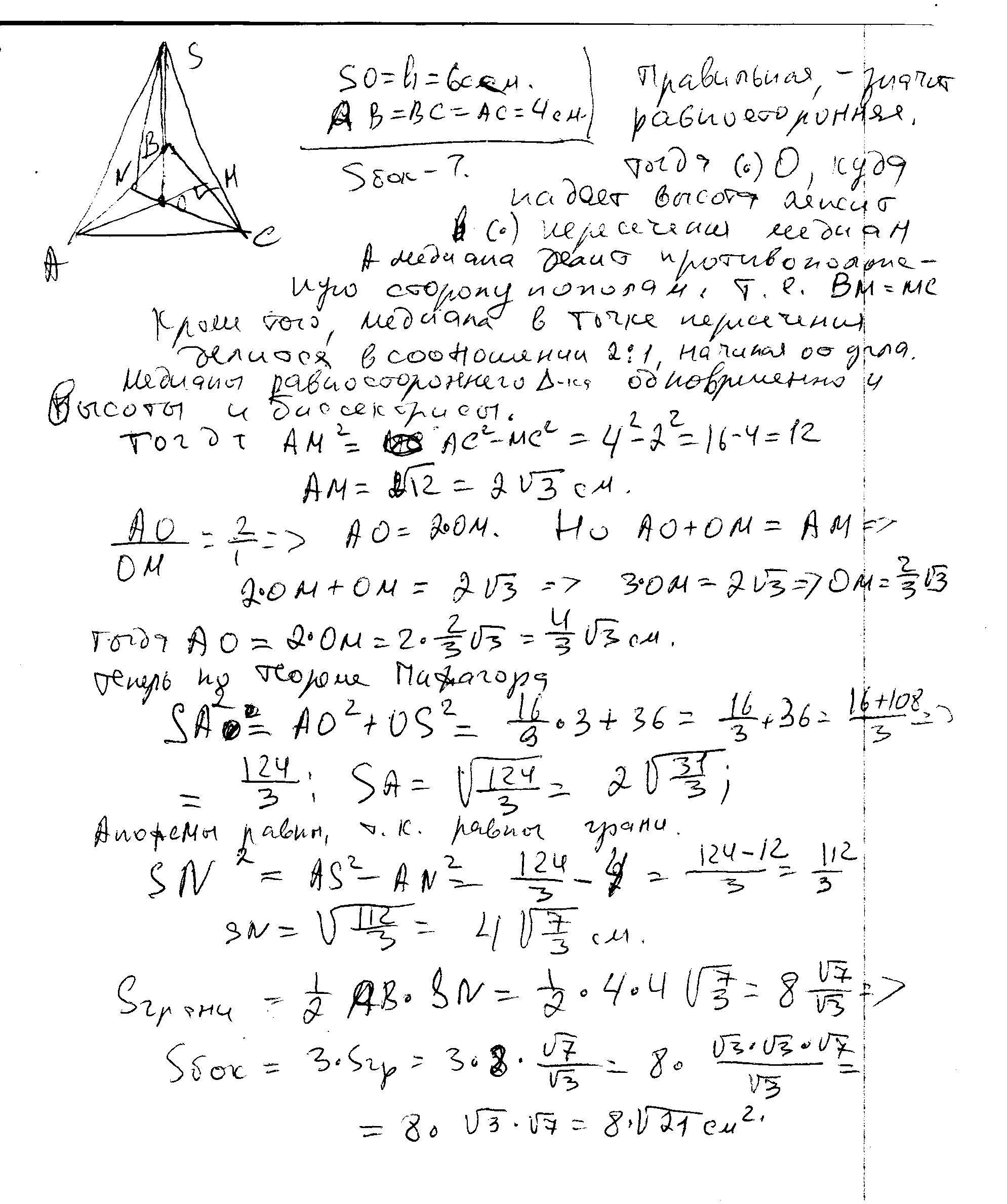
решение в скане.........
Приложения:
Похожие вопросы
Предмет: Другие предметы,
автор: turkhait
Предмет: Алгебра,
автор: Kotsipakksusha
Предмет: Физика,
автор: sofiadzhioevasd1234
Предмет: Математика,
автор: dryzhinina
Предмет: Алгебра,
автор: marinka31