Предмет: Алгебра,
автор: onesherharry
ПОЖАЛУЙСТА, ОЧЕНЬ СРОЧНО!
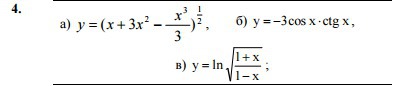
Найти производные функций (Распишите, пожалуйста, большое спасибо!!!!!)
Приложения:
Ответы
Автор ответа:
0
*************************************
Приложения:
Автор ответа:
0
что не понятно - спрашивайте
Автор ответа:
0
Спасибо за помощь! Большое-большое спасибо!
Автор ответа:
0
не за что! :)
Похожие вопросы
Предмет: Математика,
автор: denys56
Предмет: Окружающий мир,
автор: Аноним
Предмет: География,
автор: liza7457
Предмет: Физика,
автор: Melancholia