Предмет: Геометрия,
автор: IlinaSharapova
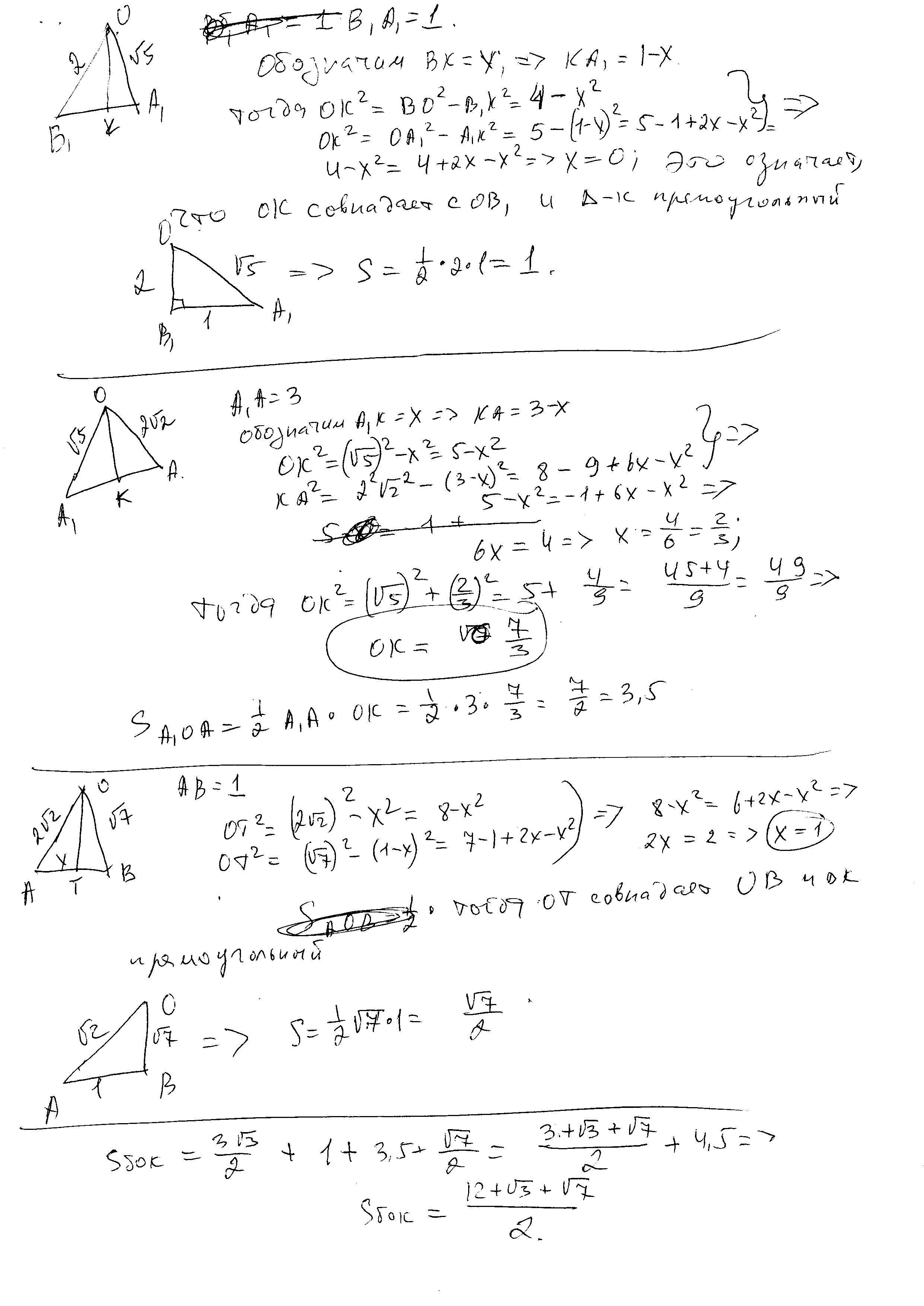
В правильной шестиугольной призме АВСDEF A1B1C1D1E1F1 на ребре DD1
отмечена точка О так, что DO=2∙D1O.
А) Докажите, что объем данной призмы в 4,5 раза больше, чем объем пирамиды
ОАВВ1А1.
Б) Найдите площадь боковой поверхности пирамиды ОАВВ1А1, если известно, что
АВ=1, DD1=3.
Ответы
Автор ответа:
0
Если бы я знал, за что берусь....
Приложения:
Похожие вопросы
Предмет: Английский язык,
автор: toxicbaby
Предмет: Українська мова,
автор: zp081101bds
Предмет: Английский язык,
автор: sleta1998A
Предмет: География,
автор: vatolina1219