Предмет: Алгебра,
автор: samodurovamilan
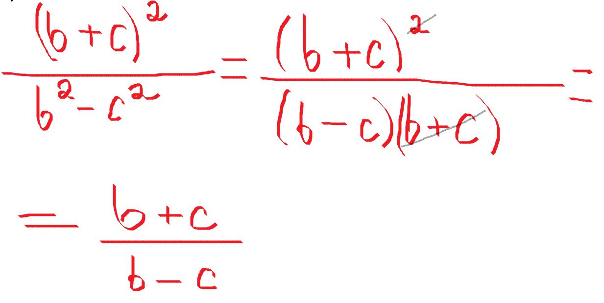
(b+c)²/b²-c². Сократите дробь, пожалуйста.
Ответы
Автор ответа:
0
(b+c)^2/b^2 - c^2 = (b+c)^2/(b+c)(b-c) = (b+c)/(b-c) при условии, что b не равно -с
Автор ответа:
0
Решение на фото............
Приложения:
Похожие вопросы
Предмет: Математика,
автор: ausataia32
Предмет: История,
автор: vikaprahina975
Предмет: Українська мова,
автор: zhekamaleev0
Предмет: Математика,
автор: AnetaG