Предмет: Алгебра,
автор: maksim4k23
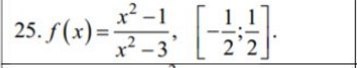
НАЙТИ НАИБОЛЬШЕЕ И НАИМЕНЬШЕЕ ЗНАЧЕНИЕ ФУНКЦИИ НА ОТРЕЗКЕ
Приложения:
Ответы
Автор ответа:
0
f`(x)=(2x³-6x-2x³+2x)/(x²-3)²=-4x/(x²-3)²=0
x=0∈[-1/2;1/2]
f(-1/2)=f(1/2)=(1/4-1):(1/4-3)=-3/4:(-11/4)=3/4*4/11=3/11-наим
f(0)=1/3 наиб
x=0∈[-1/2;1/2]
f(-1/2)=f(1/2)=(1/4-1):(1/4-3)=-3/4:(-11/4)=3/4*4/11=3/11-наим
f(0)=1/3 наиб
Автор ответа:
0
"(2x³-6x-2x³+2x)/(x²-3)²=-4x/(x²-3)²=0" откуда это все?
Автор ответа:
0
Как от куда? из производной
Автор ответа:
0
2⋅x⋅(x^2+1)−(x^2−1)⋅2⋅x/(x^2+1)^2 - вот такая производная получается, нет?
Похожие вопросы
Предмет: Українська мова,
автор: СашаТаша
Предмет: Алгебра,
автор: romannn62u
Предмет: Информатика,
автор: avramenkoa511
Предмет: Литература,
автор: Ани111