Предмет: Алгебра,
автор: mishael2015
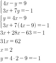
Решите систему уравнений: {4x-y=9
{3x+7y= -1
Ответы
Автор ответа:
0
ооооооооооооооооооооооооооооооооооооооооооооооооо
Автор ответа:
0
Решение смотрите в вложении
Приложения:
Похожие вопросы
Предмет: Математика,
автор: alyonamkrft
Предмет: Қазақ тiлi,
автор: mubinanrkasym
Предмет: Геометрия,
автор: mankisalina
Предмет: Математика,
автор: Аноним