Предмет: Физика,
автор: ANNA4998
1.Звезда Антарес (а Скорпиона)спектрального класса М имеет светимость L=3*10 в четвертой степени L и температуру Т=3300K .Определите радиус Антареса
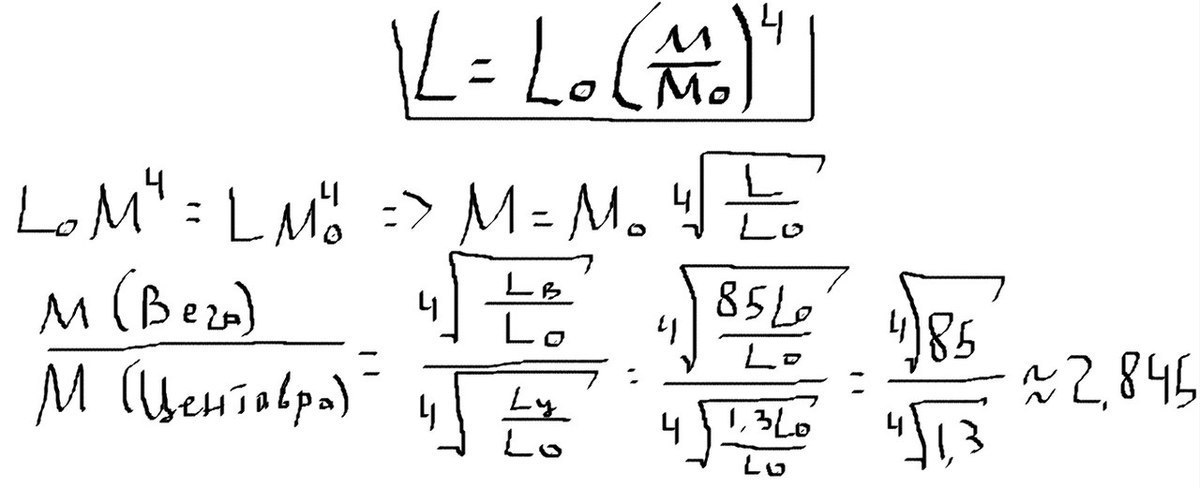
2.Звезды главной последовательности Вега и а Центавра относятся к сректральным классам А и G соответственно .Светимость Веги L=85L а Светимость а Центавра L=1,3L .Чему равно отношение масс этих звезд?
Ответы
Автор ответа:
0
____________________________________
Приложения:
Автор ответа:
0
Знаю, что не сходятся. Но крайне маловероятно, что я допустил ошибку
Автор ответа:
0
понятно, но все равно большое спасибо
Похожие вопросы
Предмет: Литература,
автор: dasha00pp9
Предмет: Математика,
автор: kristina6018
Предмет: Информатика,
автор: sergejzamyatin05
Предмет: Биология,
автор: ekaterinapavle
Предмет: Математика,
автор: Ogaraz