Предмет: Математика,
автор: Аноним
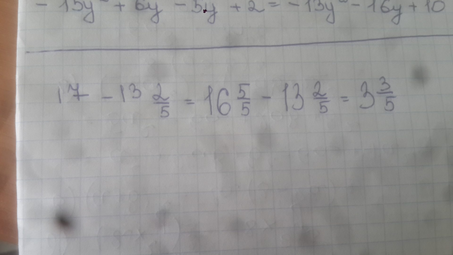
Найдите значение разности 17-13 25
Ответы
Автор ответа:
0
решение смотрите на фото
Приложения:
Автор ответа:
0
17-13=4
4-2/5=3.3/5
это было просто могла бы и сома решить :)
4-2/5=3.3/5
это было просто могла бы и сома решить :)
Приложения:
Похожие вопросы
Предмет: Математика,
автор: ZavodMozgov
Предмет: Физика,
автор: Кристина917782
Предмет: Українська мова,
автор: zykinivan22887543091
Предмет: Информатика,
автор: illdar72
Предмет: Биология,
автор: dolgushka