Предмет: Математика,
автор: VitalkaNoob
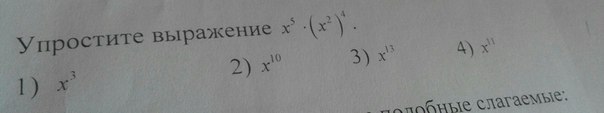
Упростите выражение :
Приложения:
Ответы
Автор ответа:
0
Ответ: x^13, то есть ответ под номером 3
Автор ответа:
0
x^5*x^8=x^13
Ответ:3
так как при возведение степени в степень,степени складываются)
Ответ:3
так как при возведение степени в степень,степени складываются)
Автор ответа:
0
Спасибо ;)
Похожие вопросы
Предмет: Химия,
автор: Аноним
Предмет: Английский язык,
автор: vmurndws345w
Предмет: Қазақ тiлi,
автор: nazarovaltair189
Предмет: Алгебра,
автор: Аноним