Предмет: Алгебра,
автор: Аноним
номер 3 под цифпрой 3 )))))
Приложения:
Ответы
Автор ответа:
0
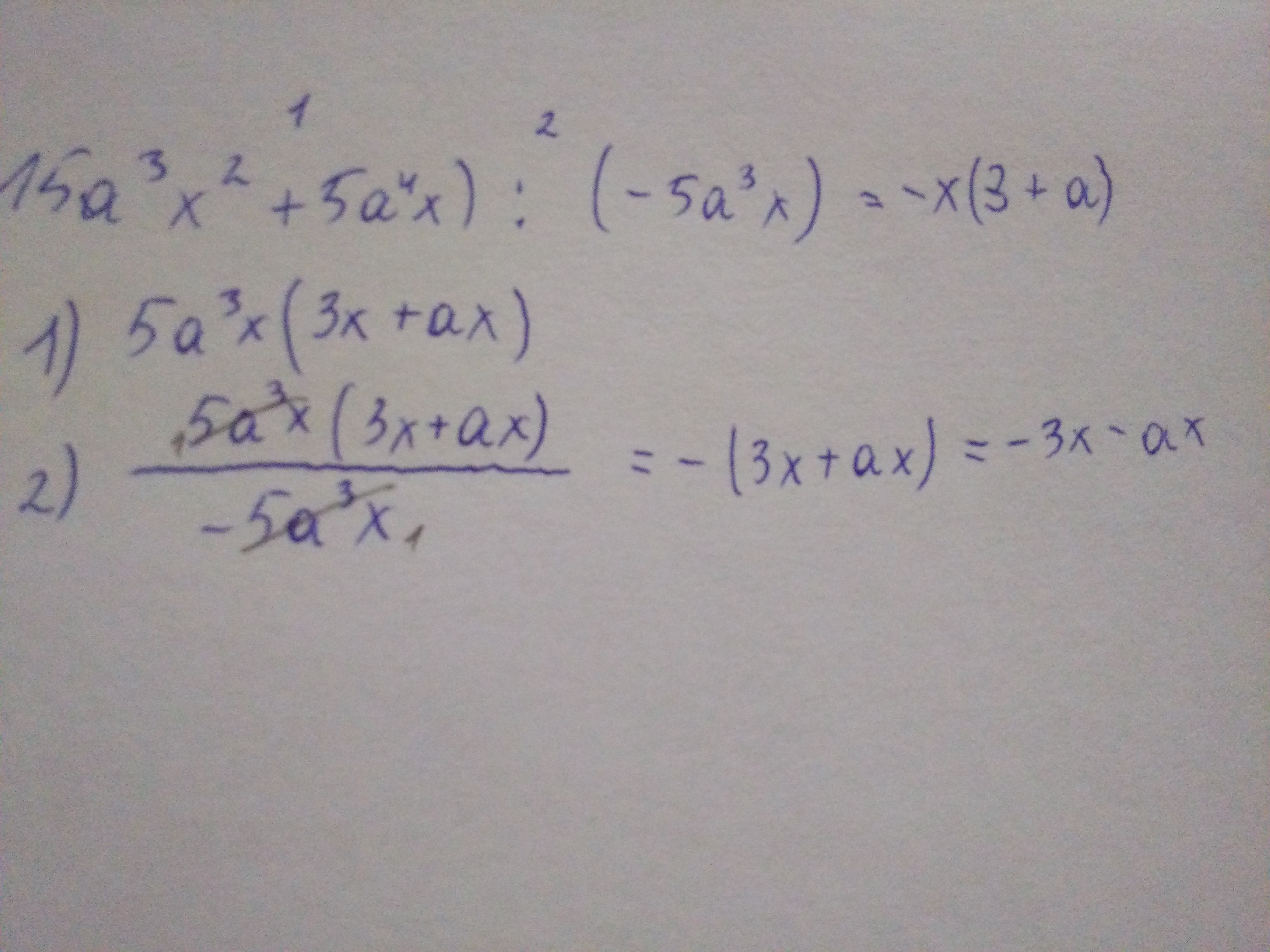
тут я по действиям сделал
Приложения:
Похожие вопросы
Предмет: Английский язык,
автор: khassenovr
Предмет: Биология,
автор: kxkdjdjjfjffjjf
Предмет: Алгебра,
автор: sergiomac1108
Предмет: Физика,
автор: tankist1357974