Предмет: Алгебра,
автор: ghop33
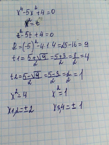
Решить уравнение:
x⁴-5x²+4=0
Ответы
Автор ответа:
0
это биквадратное уравнение, нужно ввести новую переменную, то есть а=х^2, получается: а^2-5а+4=0, а дальше по дискриминанту
Автор ответа:
0
///////////////////////////////
Приложения:
Похожие вопросы
Предмет: Математика,
автор: viktoriafly64
Предмет: Русский язык,
автор: nikita24075a2
Предмет: История,
автор: dinadir
Предмет: Алгебра,
автор: devo4ka00000