Предмет: Геометрия,
автор: VVioletta55
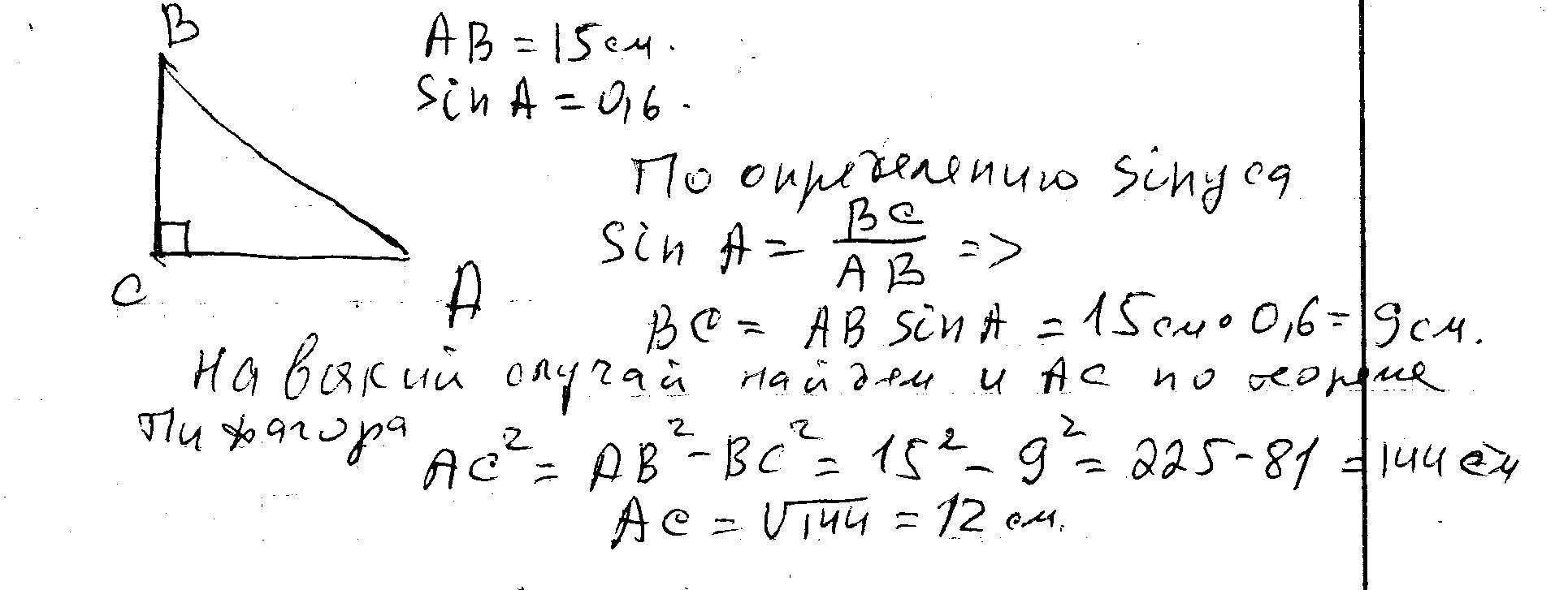
в прямоугольном треугольнике авс (угол С=90°) AB=15см,sinA=0,6.Найти катет BC
Ответы
Автор ответа:
0
решение в скане.....
Приложения:
Похожие вопросы
Предмет: Другие предметы,
автор: alyaalevna89
Предмет: Другие предметы,
автор: yevasuvorova8
Предмет: Алгебра,
автор: cooooooooooool
Предмет: Химия,
автор: sakenasnastya