Предмет: Алгебра, автор: ilona7

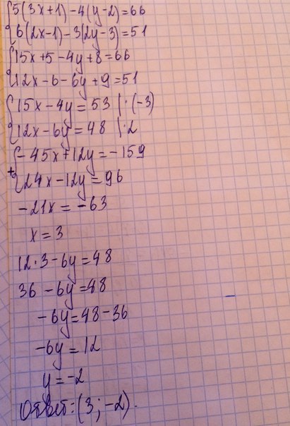
Решить смстему уравнений способом сложения 5(3x+1)-4(y-2)=66 6(2x-1)-3(2y-3)=51

Ответы

Автор ответа: KarinaYouchi
0
////////////////////
Приложения:
Похожие вопросы
Предмет: Биология, автор: Аноним