Предмет: Алгебра,
автор: danya200259
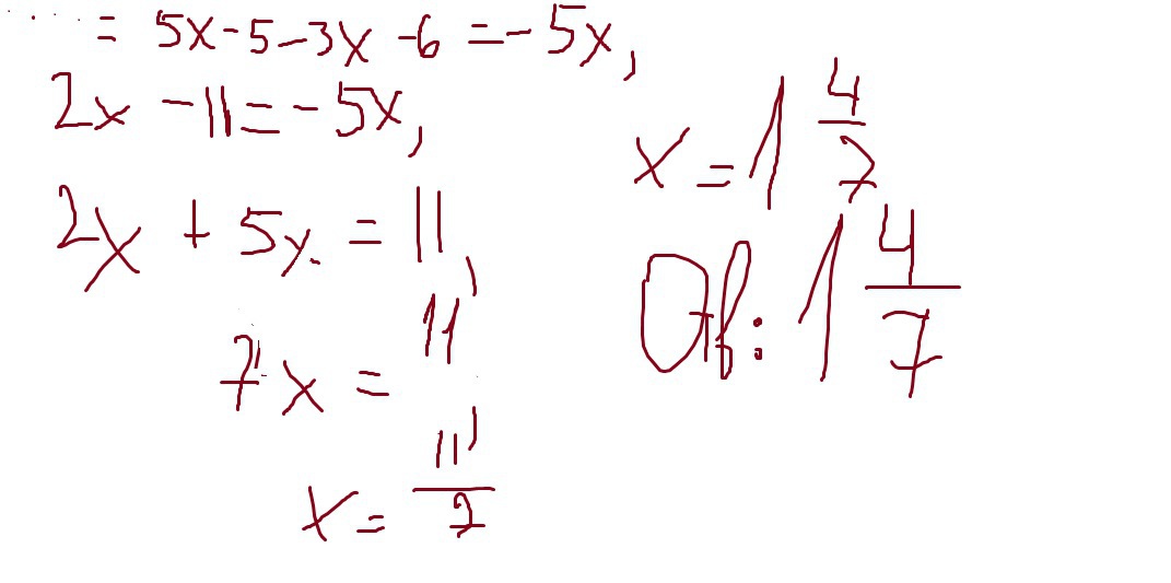
Помогите решить плиз 5(x-1)-3(x+2)=-5x
Ответы
Автор ответа:
0
5x-5-3x-6=-5x
5x-3x+5x=6+5
-3x=11
x=-11/3
5x-3x+5x=6+5
-3x=11
x=-11/3
Автор ответа:
0
На фото ответ)
Поставь как лучший))
Пж)
УДачиии
Поставь как лучший))
Пж)
УДачиии
Приложения:
Похожие вопросы
Предмет: Математика,
автор: morocaj
Предмет: Қазақ тiлi,
автор: diassaparov225
Предмет: География,
автор: Аноним
Предмет: Алгебра,
автор: Nastyahovrinceva