Предмет: Математика,
автор: mewmewkissicuty
Промежуточная аттестация по общей математике (8 класс)
1.Выполнить действие:
(см. картинку ниже)
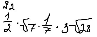
2. Чему равно значение выражения:
(см. картинку ниже)
3. Решите уравнение:
x^2+18=10-6x
5. В равнобедренном треугольнике боковая сторона = 24см. Найдите площадь треугольника.
6.Точка О - центр окружности. Угол ВОС = 160 градусов. Найдите величину угла ВАС.
(см. картинку ниже)
7. Решите неравенство:
5(2-х)-(х+3)≤4(х-6)
8. Пешеход прошел по шоссе 5 км, с постоянной скоростью, и 6 км по лесу, со скоростью на 3 км/ч меньше, чем по шоссе. Найти скорость пешехода при ходьбе по лесу, если он затратил на весь путь 4 часа.
9.Боковая сторона трапеции 4 см, а один из прилегающих к ней углов равен 30 градусов. Найдите площадь трапеции, если её основания равны 2 см и 8 см.
Очень надеюсь на помощь :с
Приложения:
Ответы
Автор ответа:
0
2) 3/14* корень из 196= 3/14*14=3
3) x^2+18-10+6x=0
x^2+6x+8=0
D=36-32=4
x=(-6+-2)/2= x1=-2
x2=-4
6) угол boc - центральный, поэтому и дуга boc будет равна 160*
а угол bac-вписанный, а вписанные углы равны половине дуги, на которую опираются, следовательно, угол bac = 80*
7) 10-5x-x-3≤4x-24
10-3+24≤4x+6x
31≤10x
3,1≤x
8) x+3 - скорость по шоссе x- скорость по лесу
t=S/v
5/(x+3)+6/x=4ч
под общий знаменатель
5x+6x+18-4x^2-12x/ x(x+3) = 0
5x+6x+18-4x^2-12x= 0
18-4x^2-x=0
-4x^2-x+18=0
4x^2+x-18=0
D=1+4*4*18=289=17^2
ответ должен быть положительным, так как это скорость
x= (-1+-17)/8= 2км/ч
9) фотка
3) x^2+18-10+6x=0
x^2+6x+8=0
D=36-32=4
x=(-6+-2)/2= x1=-2
x2=-4
6) угол boc - центральный, поэтому и дуга boc будет равна 160*
а угол bac-вписанный, а вписанные углы равны половине дуги, на которую опираются, следовательно, угол bac = 80*
7) 10-5x-x-3≤4x-24
10-3+24≤4x+6x
31≤10x
3,1≤x
8) x+3 - скорость по шоссе x- скорость по лесу
t=S/v
5/(x+3)+6/x=4ч
под общий знаменатель
5x+6x+18-4x^2-12x/ x(x+3) = 0
5x+6x+18-4x^2-12x= 0
18-4x^2-x=0
-4x^2-x+18=0
4x^2+x-18=0
D=1+4*4*18=289=17^2
ответ должен быть положительным, так как это скорость
x= (-1+-17)/8= 2км/ч
9) фотка
Приложения:
Похожие вопросы
Предмет: Окружающий мир,
автор: brawllogy98
Предмет: Русский язык,
автор: ulka0603
Предмет: Алгебра,
автор: kocmosa
Предмет: Математика,
автор: marikolpakova1
Предмет: География,
автор: Rostishishka