Предмет: Математика,
автор: sruleksveta
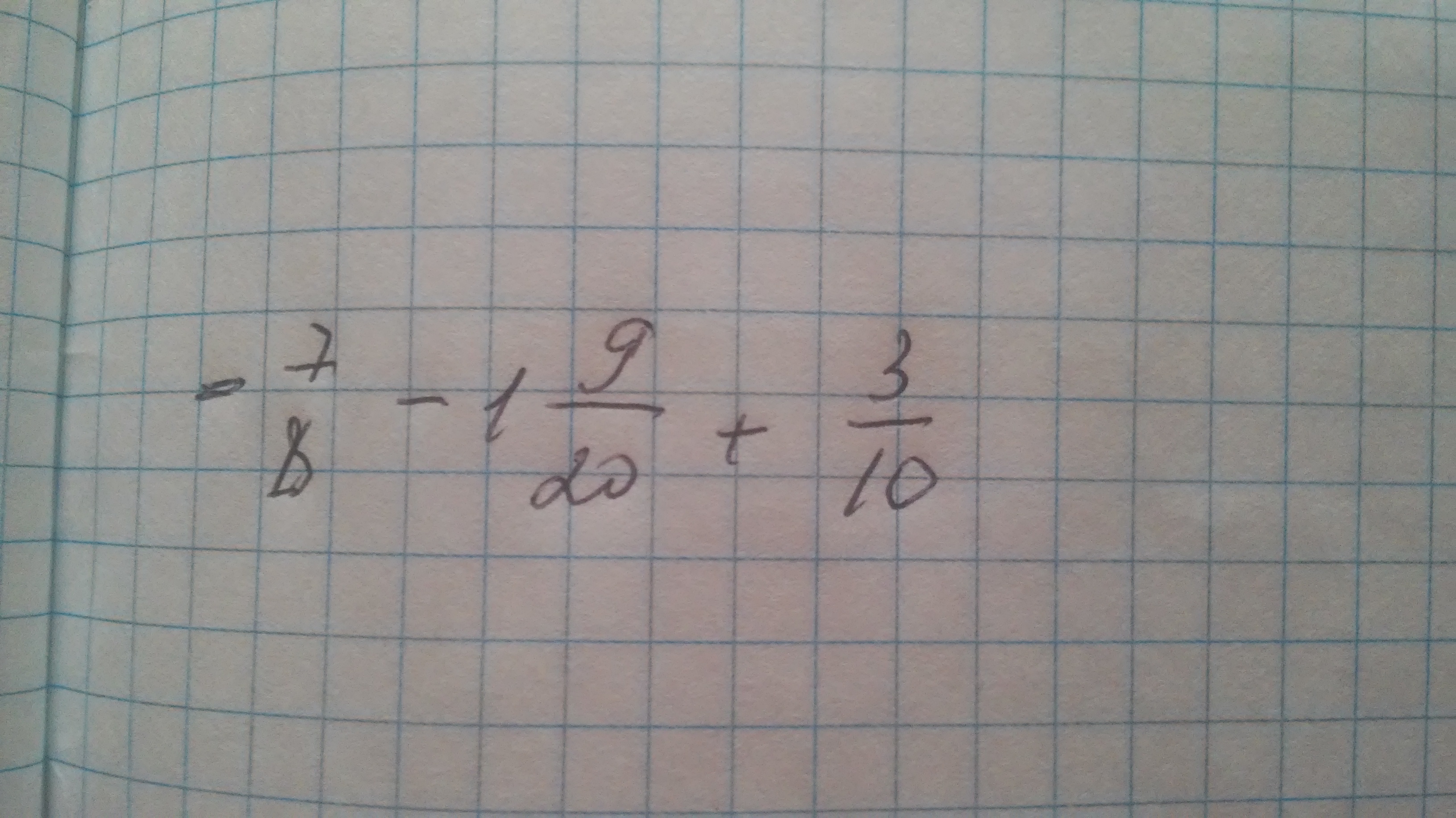
ребята! помогите пожалуйста решить пример
Приложения:
Ответы
Автор ответа:
0
Я тебе посоветую приложение photomath очень полезная вещь
Приложения:
Автор ответа:
0
-1 целая 1/40 т.к.
если сократитить и сложить получится -41/40 и следовательно -1 целая 1/40
если сократитить и сложить получится -41/40 и следовательно -1 целая 1/40
Приложения:
Похожие вопросы
Предмет: Математика,
автор: damir3004ok
Предмет: Литература,
автор: saltanatmurzakanova6
Предмет: Право,
автор: bejaofysuw
Предмет: Математика,
автор: иладик