Предмет: Математика,
автор: 88861
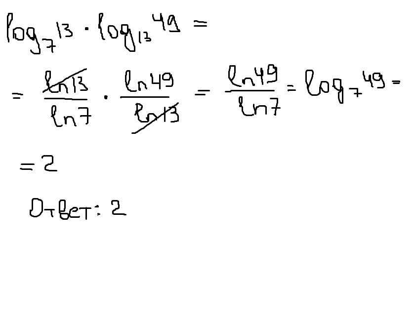
log (7)13 * log (13) 49
Ответы
Автор ответа:
0
Ln - натуральный логарифм.
Приложения:
Похожие вопросы
Предмет: История,
автор: Аноним
Предмет: Математика,
автор: Аноним
Предмет: История,
автор: gulnarfyzieva
Предмет: Геометрия,
автор: cobra17
Предмет: Биология,
автор: alena101