Предмет: Математика,
автор: Снежочек2
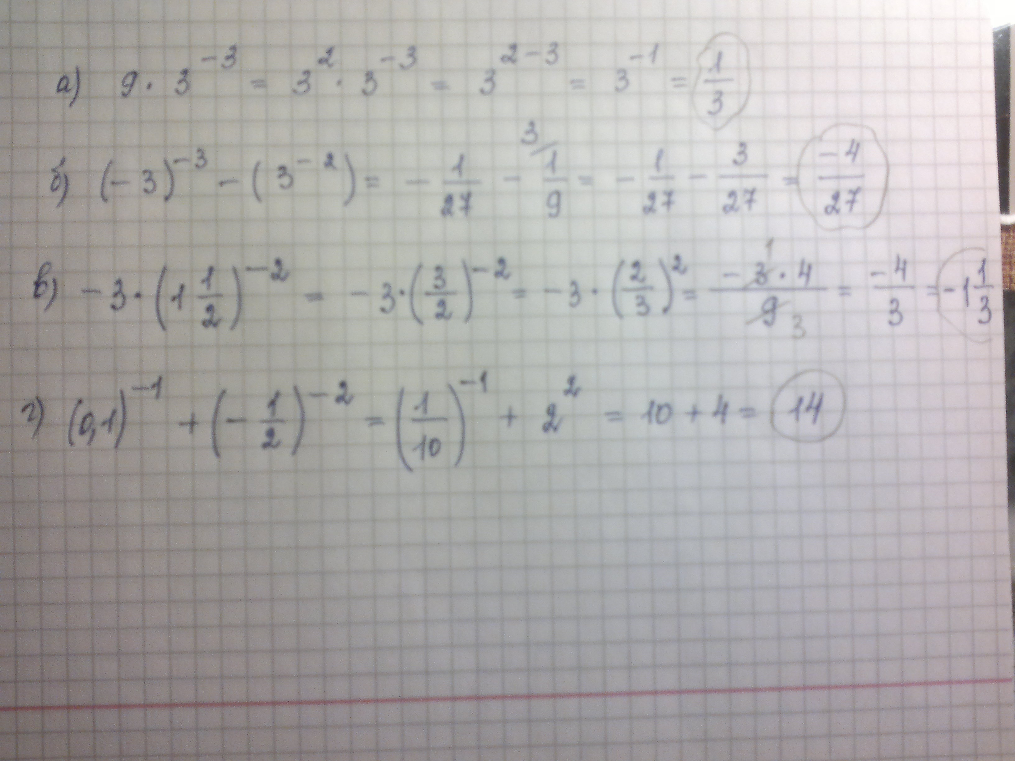
Найдите значение выражения. Задание на фото. Помогите пожалуйста))
Приложения:
Ответы
Автор ответа:
0
Пишите, если что не так
Приложения:
Похожие вопросы
Предмет: Химия,
автор: osadcukmaksim43
Предмет: Математика,
автор: nazymbalginbekova
Предмет: Математика,
автор: fede60080
Предмет: Математика,
автор: Полич123435
Предмет: Обществознание,
автор: асенька111