Предмет: Геометрия,
автор: dymkaga1
ПОМОГИТЕ ПОЖАЛУЙСТА!!!
ЗАДАЧИ ПО ГЕОМЕТРИИ 9 КЛАСС.
ЗАРАНИЕ СПАСИБО!
Приложения:
Ответы
Автор ответа:
0
1)
решаешь так: треугольники s1 и s2, подобны по трём углам, где коэффициент подобия равен 1/2, "отношение сторон ", а квадрат коэффициента подобия равен соотношению площадей , а значит ответ (1/2)^2 = 1/4
2)
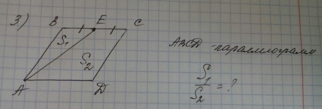
поставь на ad точку середины, и соединяй с E, твой парал-м разделиться на 2 равных парал-м, где в левом будет диагональ , а она делит площадь на два равных куска, значит весь целиком парал-м по площади равен 4*s1, а s2 = вся площадь - s1, а отношение будет 1/3
решаешь так: треугольники s1 и s2, подобны по трём углам, где коэффициент подобия равен 1/2, "отношение сторон ", а квадрат коэффициента подобия равен соотношению площадей , а значит ответ (1/2)^2 = 1/4
2)
поставь на ad точку середины, и соединяй с E, твой парал-м разделиться на 2 равных парал-м, где в левом будет диагональ , а она делит площадь на два равных куска, значит весь целиком парал-м по площади равен 4*s1, а s2 = вся площадь - s1, а отношение будет 1/3
Автор ответа:
0
Огромное спасибо!
Похожие вопросы
Предмет: Қазақ тiлi,
автор: Аноним
Предмет: Литература,
автор: renatacartoons
Предмет: Английский язык,
автор: dashadasa200961
Предмет: Геометрия,
автор: petrovichtep
Предмет: Литература,
автор: аннаry