Предмет: Геометрия,
автор: LirkaED
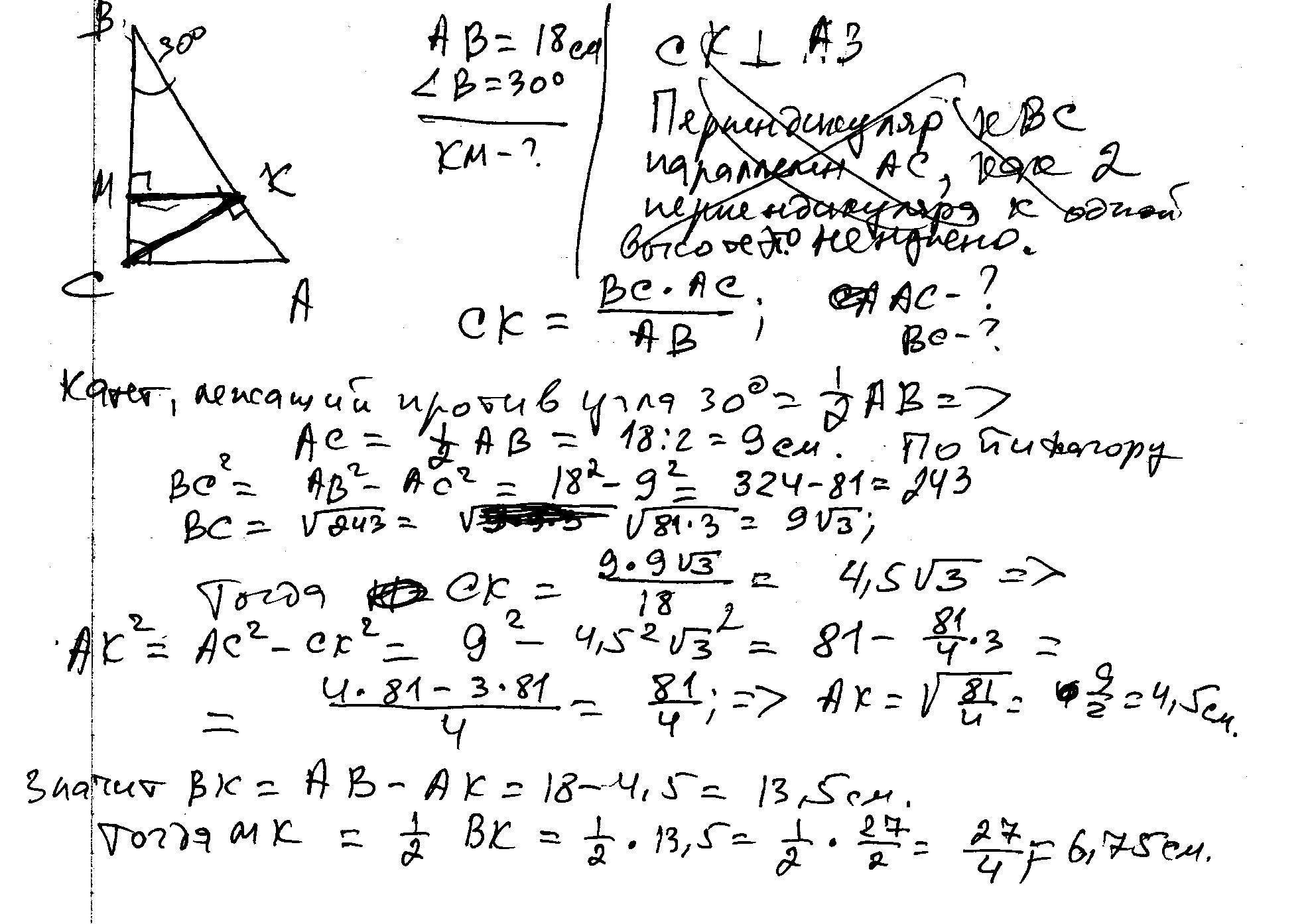
1.Дан прямоугольный треугольник abc. Угол b=30 градусов, ba=18 см,угол c=90. CK-высота. KM перпендикулярен BC. Найти KM
Ответы
Автор ответа:
0
решение в сканеее.....
Приложения:
Похожие вопросы
Предмет: Русский язык,
автор: kamelia050505
Предмет: География,
автор: markos12388
Предмет: Оʻzbek tili,
автор: vuzkyikyrylo
Предмет: География,
автор: 1981anya81
Предмет: Алгебра,
автор: 2704machula