Предмет: Математика, автор: arbyz029029

срочьно надо!!!!!!!!!!!!!!!!

Приложения:

Ответы

Автор ответа: Nafisat20
0
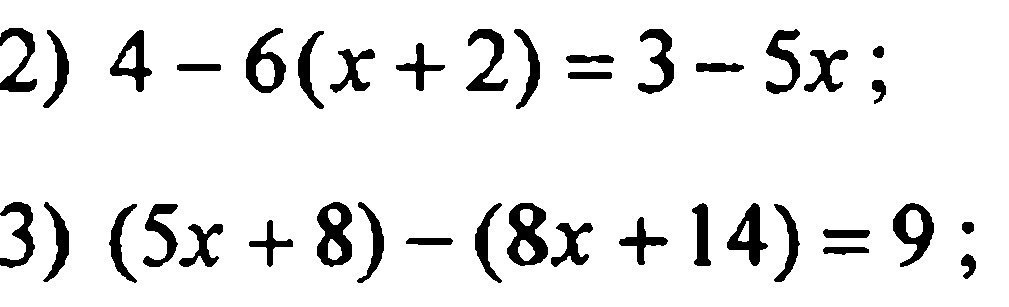
2) 4-6(х+2)=3-5х
4-6х-12=3-5х
-6х+5х=3-4+12
-х=11
Х=-11
Похожие вопросы
Предмет: Математика, автор: mieli42
Предмет: Русский язык, автор: arstanwedadsadsad
Прочитайте текст, выполните задания к нему и ответьте на вопросы.
ТЕКСТ↓↓↓↓
Абай Кунанбаев – великий поэт казахского народа, философ, гуманист, композитор, мастер
художественного слова. Он родился 10 августа 1845 года в Семипалатинской области на склонах гор
Шынгыстау. Изначально поэту дали имя Ибрагим, но бабушка Зере звала любимого внука Абаем, что
означает «осмотрительный, осторожный, миленький». С тех пор и окружающие стали так же
обращаться к мальчику.
Бабушка Зере, большой знаток народной словесной сокровищницы, сумела привить своему
внуку стремление и любовь к знаниям, стала его первым воспитателем и учителем. Абай очень любил
свою бабушку. Дни и ночи он проводил рядом с ней, постоянно упрашивая рассказать сказку или
историю. Бабушка Зере, с нежностью относившаяся к своему внуку, с наслаждением раскрывала перед
ним все богатство устного творчества, лелея и будоража воображение Абая. Зере была большой
мастерицей устного рассказа, она умела рассказывать красочно и интересно. Во многом под влиянием
бабушки Абай встал на нелегкий путь борца за человеческое счастье
В отрочестве Абай стремился освоить высокие образцы ораторского искусства, обычаи и
правила, по которым жил народ, примеры честного судейства сложных и спорных вопросов между
людьми и племенами. Во все времена искусство слова, ораторские качества очень высоко ценились
среди кочевников. Народные сказатели, ораторы, поэты, мастера устного рассказа дали огромную
духовную основу творчеству Абая. Он понял, что многие познания и мудрость жизни кроются в
народных дастанах, сказаниях о батырах. С юных лет с упоением слушал он акынов и сказателей,
впитывая в себя образцы народной поэзии и, подражая им, стал сочинять свои первые стихи.
В творениях Абая явно прослеживается мечта поэта увидеть свой нароД просвещенной, развитой
и независимой нацией. Произведения Абая вдохновляют молодое поколение на служение народу,

поддерживают в нем стремление к просвещению, знаниям, к развитию наций через культуру. Они
всегда актуальны. Жизнь Абая, «…который боролся с тысячами один», - пример непреклонного поиска
правды и справедливости для потомков. Абай, утверждая, что «поэзия – властитель языка…», сам был
повелителем поэзии, «сыном не только отца, своего народа, но и всего человечества».


вопрос ↓↓↓↓

2. Определите стиль и тип текста. Почему вы так решили? Приведите по одному доказательству.

[2]


3. Сформулируйте по тексту 2 вопроса, оценивающих текст с точки зрения актуальности и ценности

его для читателя