Предмет: Алгебра, автор: ДимаLOST

Пожааааалуйста, помогите!! Даю 35 баллов

Приложения:

Ответы

Автор ответа: ahta
0
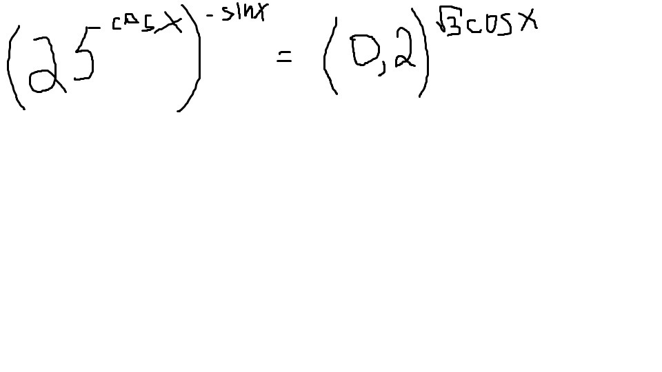
 (0,2^{-2cos alpha }) ^{-sin alpha } = 0.2^{ sqrt{3}cos alpha }
 0.2^{2sin alpha cos alpha } = 0.2^{ sqrt{3}cos alpha }
2sinαcosα=√3cosα
2sinαcosα-√3cosα=0
cosα(2sinα-√3)=0
cosα=0                                   sinα=√3/2
α1=π/2+πn, n∈Z                    α2= (-1)^{n} frac{ pi }{3} + pi n, , n∈Z
везде где α вставить х
Похожие вопросы
Предмет: Математика, автор: ulianovalina20