Предмет: Математика,
автор: gotmod
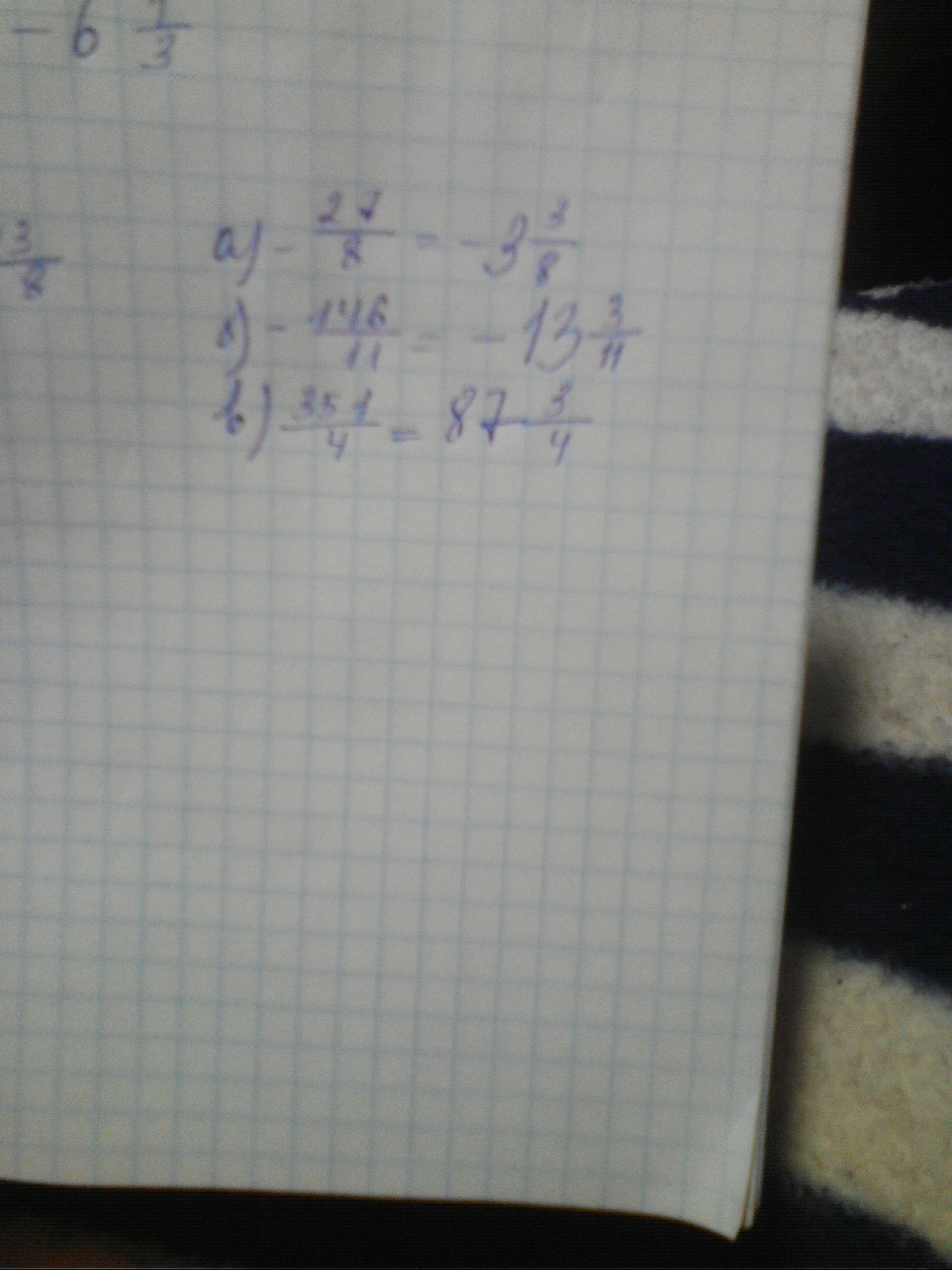
Представьте в виде неправильной дроби а)-( 2 7/8) б)-14 6/11 в) 35 1/4 Помогите
Ответы
Автор ответа:
0
.........................
Приложения:
Автор ответа:
0
а) -2 7/8=(-23/8)
б) -14 6/11=(-160/11)
в) 35 1/4=141/4
________
это я написала как считается. До знака "/" числитель, а после знаменатель, т.е. (числитель / знаменатель)
а) -2 7/8=(-8×2+7 / 8)=(-23/8)
б) -14 6/11=(-11×14+6 / 11) =(-160/11)
в) 35 1/4=4×35+1 / 4
б) -14 6/11=(-160/11)
в) 35 1/4=141/4
________
это я написала как считается. До знака "/" числитель, а после знаменатель, т.е. (числитель / знаменатель)
а) -2 7/8=(-8×2+7 / 8)=(-23/8)
б) -14 6/11=(-11×14+6 / 11) =(-160/11)
в) 35 1/4=4×35+1 / 4
Приложения:
Похожие вопросы
Предмет: Информатика,
автор: Аноним
Предмет: Қазақ тiлi,
автор: gnaskenova7
Предмет: Математика,
автор: moiseevanata0984
Предмет: География,
автор: asteriks10121971