Предмет: Математика,
автор: PopCoplk
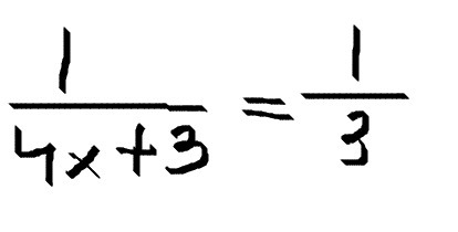
Найти корень уравнения.
Приложения:
Ответы
Автор ответа:
0
Всё умножаем на общий множитель 3(4x+3)
Получаем:
3=4x+3
4x=0
x=0
Получаем:
3=4x+3
4x=0
x=0
Похожие вопросы
Предмет: Геометрия,
автор: kravchukanna69
Предмет: Қазақ тiлi,
автор: khamzadaurov
Предмет: Окружающий мир,
автор: makaroshka07
Предмет: Физика,
автор: Chipolla2000
Предмет: Математика,
автор: khatskevich05