Предмет: Алгебра,
автор: Аноним
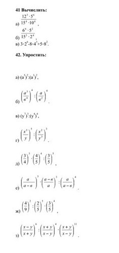
Только верхнее, (Вычислить)
Приложения:
Ответы
Автор ответа:
0
А) ответ 2/3 потому что гладиоус
Автор ответа:
0
Решение можно?)
Похожие вопросы
Предмет: Математика,
автор: 75786565689
Предмет: История,
автор: dali2009
Предмет: Математика,
автор: savinovaalina20
Предмет: Математика,
автор: novzhenova79
Предмет: Математика,
автор: milekhina81