Предмет: Алгебра,
автор: yahikomedzin
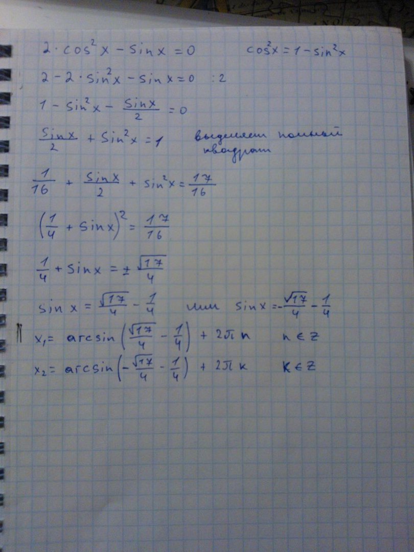
2cos^2x - sinx=0 ПОМОГИТЕ РЕШИТЬ
Ответы
Автор ответа:
0
!!!!!!!!!!!!!!!!!!!!!!!!!!!!!!!!!!!!!!!!
есть возможность что четыре корня
есть возможность что четыре корня
Приложения:
Похожие вопросы
Предмет: Алгебра,
автор: marrusaj
Предмет: Математика,
автор: Аноним
Предмет: Химия,
автор: Emzar
Предмет: Математика,
автор: ulyanova197819
Предмет: Геометрия,
автор: stounss