Предмет: Математика,
автор: lili118
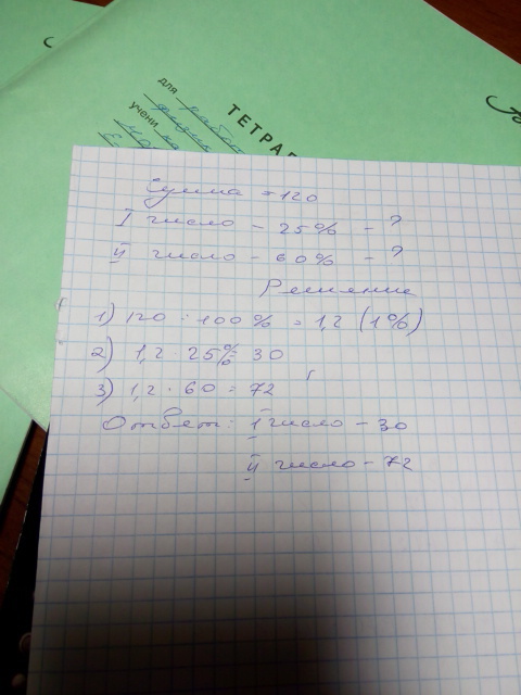
Сумма трёх чисел равно 120.Первое число составляет 25% от всех суммы,а второе 60%.Найдите эти числа
Ответы
Автор ответа:
0
думаю так.точно не знаю.
Приложения:
Автор ответа:
0
мы делаем решения через проценты и находим эти два числа
Приложения:
Похожие вопросы
Предмет: Информатика,
автор: Tatice
Предмет: Русский язык,
автор: mtolegen35
Предмет: История,
автор: denisovaira18
Предмет: Химия,
автор: tehnozahist
Предмет: Математика,
автор: cherepanina1985