Предмет: Геометрия,
автор: Kamila11555
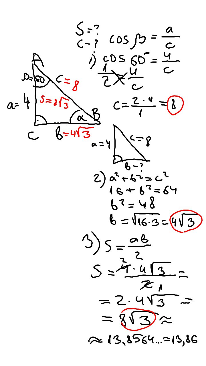
Дано треугольник ABC угол C=90,угол A=60,AC=4,найти гипотенузу и площадь
Ответы
Автор ответа:
0
Ответ: с (гипотенуза)= 8, S= 8 корень из 3
Приложения:
Похожие вопросы
Предмет: Геометрия,
автор: talaphanersultan
Предмет: Русский язык,
автор: Alysa334
Предмет: Биология,
автор: irunika
Предмет: Физика,
автор: estreinu95
Предмет: География,
автор: николь023