Предмет: Математика,
автор: акк47
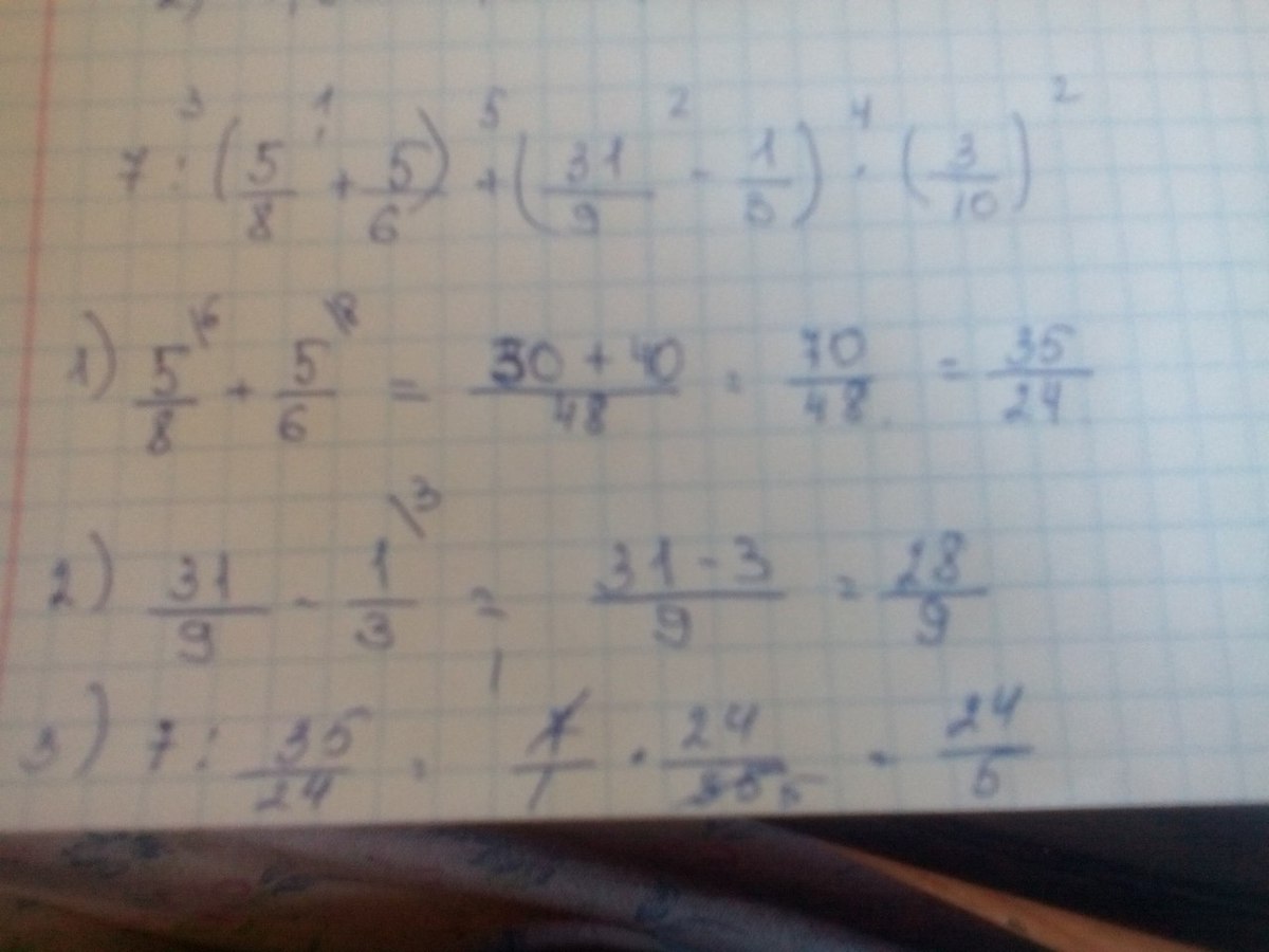
найдите значения выражения 7:(5/8+5/6)+(3 1/9-1/3)×(3/10)² плиииииизз
Ответы
Автор ответа:
0
7:(5/8+5/6)+(31/9-1/3)*(3/10)^2=5,08
Приложения:
Похожие вопросы
Предмет: Русский язык,
автор: shaikenalmira83
Предмет: История,
автор: Chelovek029
Предмет: Английский язык,
автор: svatterw
Предмет: Физика,
автор: a97499749a