Предмет: Математика,
автор: ElenaDorgieva03
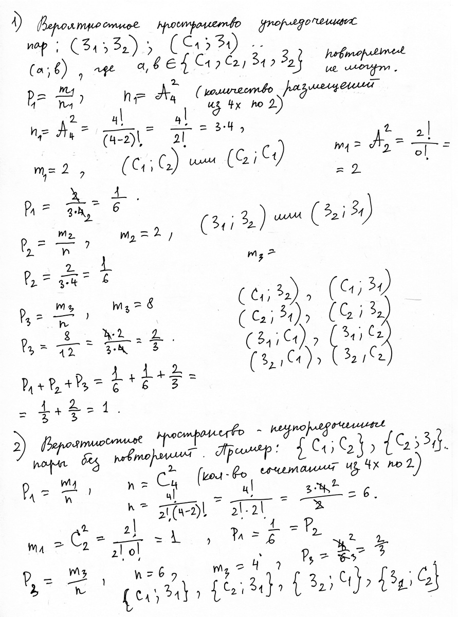
На полке лежат 4 одинаковые тетради - 2 с синей обложкой и 2 с зеленой. Наугад берутся 2 тетради. Какова вероятность того, что будут взяты 2 тетради с синей обложкой? 2 тетради с зеленой обложкой?тетради с обложками разного цвета?
Ответы
Автор ответа:
0
сделал вроде.=========>>>++
Приложения:
Автор ответа:
0
Как много) Это для 5 класса рано немного :D Спасибо все равно)
Похожие вопросы
Предмет: Литература,
автор: NIKETOIMYA
Предмет: Қазақ тiлi,
автор: karamelkatyan2
Предмет: История,
автор: kamshatsabirgalieva8
Предмет: География,
автор: КатяЗдесь
Предмет: Математика,
автор: equilzee